线性点运算

线性点运算的应用 1)如果a>1,输出图像的对比度增大(灰度扩展)
2)如果0<a<1,输出图像的对比度减小(灰度压缩)

3)如果a为负值,暗区域将变亮,亮区域将变暗

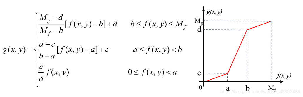
分段线性点运算
将感兴趣的灰度范围线性扩展,相对抑制不感兴趣的灰 度区域。 设f(x,y) 灰度范围为[0,Mf],g(x,y)灰度范围为[0,Mg],

分段线性点运算的应用

非线性点运算(Non-Linear Point Operation)
1、非线性点运算 非线性点运算的输出灰度级与输入灰度级呈非线性关系,常见的非 线性灰度变换为对数变换和幂次变换。

非线性点运算应用实例1

非线性点运算应用实例2:傅里叶频谱的显示

幂次变换

非线性点运算应用实例3

