输入:包含n个节点的无向图。n:表示从0到n-1,n个节点。edges:int数组,是从一个节点到另外一个节点。但是没有方向。
 输出:以哪些节点为根节点,具有最小高度的树,返回这些根节点。
 规则:一个树的高度是指从根节点到叶子节点的最远路径。最小高度树,是指所有树中高度最小的树。
 分析:当只有一个节点的时候,只要返回节点0就可以。
 
  当有两个节点且相连的时候,哪个节点做根节点,树的高度都相同。
  
  当有3个节点的时候,node1和node3肯定不能为根节点,因为以node2为根,高度是1;而以node1或者node3高度为2。也就是说当有3个或者以上节点的时候,使用叶子节点做根节点的树肯定不符合要求。假设叶子节点nodeA为根是高度最小树,那么nodeA肯定有子节点还有其他节点,否则一棵树不能包含所有节点。那么以nodeA的子节点为根,高度减1,与假设不符合。有了这个结论:使用叶子节点做根节点的树肯定不符合要求。(这个观点的来源)我们就可以使用动态规划的思路来不断解决更小的问题。
  
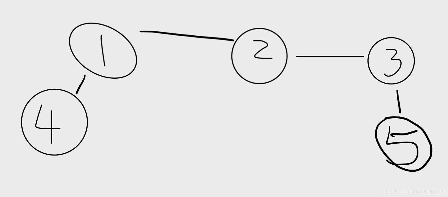
  例如上图5个节点的图,node4,node5不是根节点,那谁是呢?把node4,node5从图中移除,只剩下node1,node2,node3,3个节点。
  
  在这3个节点的图中,node1,node3肯定不是根节点。将这两个节点从图中移除。就只有node2。也就是说node2是根节点。
  在这个问题规模不断变小的过程中,不断去掉叶子节点。而这个操作不影响原有问题的答案。
public List<Integer> findMinHeightTrees(int n, int[][] edges) {Map<Integer,List<Integer>> graph = createGraph(edges,n);int[] inDegrees = new int[n];for(int[] edge : edges){inDegrees[edge[0]]++;inDegrees[edge[1]]++;}List<Integer> result = new ArrayList<Integer>();Queue<Integer> queue = new LinkedList<Integer>();for(int i=0;i<n;i++){if(inDegrees[i]==0){result.add(i);return result;}else if(inDegrees[i]==1){queue.offer(i);}}while(!queue.isEmpty()){result = new ArrayList<Integer>();int size = queue.size();for(int i=0;i<size;i++){int node = queue.poll();result.add(node);for(Integer toNode : graph.get(node)){inDegrees[toNode]--;if(inDegrees[toNode]==1){queue.offer(toNode);}}}}return result;}private Map<Integer,List<Integer>> createGraph(int[][] edges,int n){Map<Integer,List<Integer>> graph = new HashMap<Integer,List<Integer>>();for(int i=0;i<n;i++){graph.put(i,new ArrayList<Integer>());}for(int[] edge : edges){graph.get(edge[0]).add(edge[1]);graph.get(edge[1]).add(edge[0]);}return graph;}
分析2:分别以每个节点作为根节点计算树的高度,在这个过程中比较记录最小高度minHeight。遍历之前的结果,等于minHeight的节点加入到结果集中。
  在计算树的高度的过程中,可以使用动态规划的想法。假设已知 A 的所有相邻节点分别为树根的各个子树的树高,那么 A根的树高等于 已知的各个子树树高中的最大值 加一。方程式表达如下,即状态转换方程:
 height(A) = max(height(A.next0), height(A.next2),… height(A.nextk)) + 1(来源网址)
 在计算过程中需要记录各个子树的高度,避免重复计算。缓存的key值是“当前节点->子节点”。
private Map<String,Integer> cache = new HashMap<String,Integer>();public List<Integer> findMinHeightTrees(int n, int[][] edges) {Map<Integer,List<Integer>> graph = createGraph(edges,n);int[] heights = new int[n];int minHeight = n;for(int i=0;i<n;i++){heights[i] = findHeight(graph,i,-1);minHeight = Math.min(minHeight,heights[i]);}List<Integer> result = new ArrayList<Integer>();for(int i=0;i<n;i++){if(heights[i]==minHeight){result.add(i);}}return result;}private int findHeight(Map<Integer,List<Integer>> graph,int root,int parent){int height = 0;for(Integer toNode : graph.get(root)){if(toNode==parent){continue;}String key = String.valueOf(root)+"->"+toNode;int tmp;if(cache.get(key)!=null){tmp = cache.get(key);}else{tmp = findHeight(graph,toNode,root);cache.put(key,tmp);}height = Math.max(height,tmp);}return height+1;}private Map<Integer,List<Integer>> createGraph(int[][] edges,int n){Map<Integer,List<Integer>> graph = new HashMap<Integer,List<Integer>>();for(int i=0;i<n;i++){graph.put(i,new ArrayList<Integer>());}for(int[] edge : edges){graph.get(edge[0]).add(edge[1]);graph.get(edge[1]).add(edge[0]);}return graph;}
代码