在php中,php的语句需要以**;**结尾,而且变量区分大小写,但关键字不区分大小写
1、变量的命名规则
- 变量必须以$开头,比如$name,$不是变量名的一部分,仅表示变量名的开始
- 除了$以外,以字母、下划线开头,后面跟的是字母、数字、下划线
2、传值
<?php$num1=12;$num2=$num1;$num1++;echo $num1,"<br>";echo $num2;
?>
结果:
 
3、传址
要用到**&**符号,表示取出地址
<?php$num1=12;$num2=&$num1;$num1++;echo $num1,"<br>";echo $num2;
?>
结果:
 
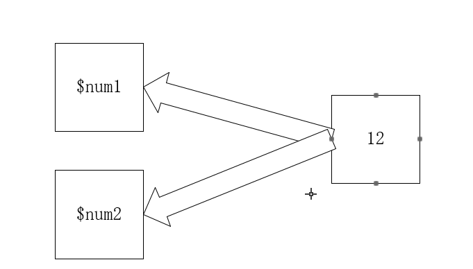
 这里画个图解释一下吧!为什么输出是13、13
 
 num1把地址传给了num2,num1和num2都指向了12,当12加一时,num1和num2的指向不变,所以是13,为什么传值就就发生了改变了呢?看图
 
 相当于指向两个12,第一num1指向的12加1,和第二个12没有半毛钱的关系。
      所以传值,保存值的空间是两个,更改一个,另一个不受影响;传地址,保存值的空间是一个,改数值,另一个变量发生受影响,因为两个变量指向同一空间
4、销毁变量
unset()销毁变量名,不能销毁变量值,比如:
<?php$num1=12;$num2=&$num1;unset($num1);echo $num2;
?>

 值由php的垃圾回收机制销毁,当值没有变量来用的时候,就会销毁。