目录
- 【1】前言
- 1、DIF计算量
- 2、利用性质改善
 
- 【2】公式推导
- 1、N 到 2*N/2
- a、分解原序列
- b、分解后的DFT变换
- c、一系列化简操作之后
- d、蝶形信号流
- e、计算量总结
 
- 2、N/2 到 2*N/4
- a、分解X2(k)序列
- b、蝶形信号流(2列)
 
- 3、N/4 到 2*N/8
- a、蝶形信号流(3列)
 
 
- 【3】公式总结
- 【4】特点以及程序框架讲解
- 1、原址运算
- 2、倒位序规律
- 3、蝶形运算两节点的距离
- 4、WN^r的确定
- 5、程序框架
 
- 【5】代码实现
 
【1】前言
1、DIF计算量

 更加清楚地了解计算步骤:
 
 观察可知:
 1、一次复数乘法需用四次实数乘法和二次实数加法;
 2、一次复数加法需二次实数加法
 3、整个 DFT 运算总共需要 4N^2 次实数乘法和 2N*(2N—1)次实数加法。
 总结:
 直接计算 DFT,乘法次数和加法次数都是和 N^2 成正比的。
2、利用性质改善

 利用这些性质,将较大的N分解为若干个较小的N然后进行运算。
【2】公式推导
1、N 到 2*N/2
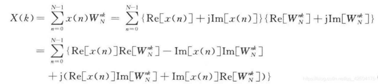
a、分解原序列

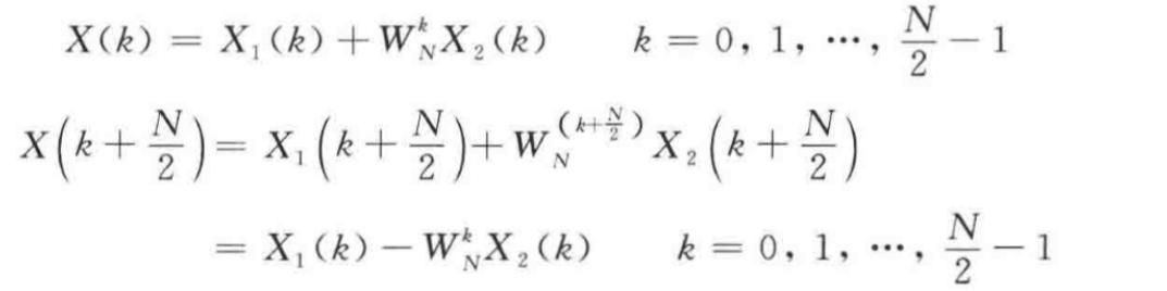
b、分解后的DFT变换

 
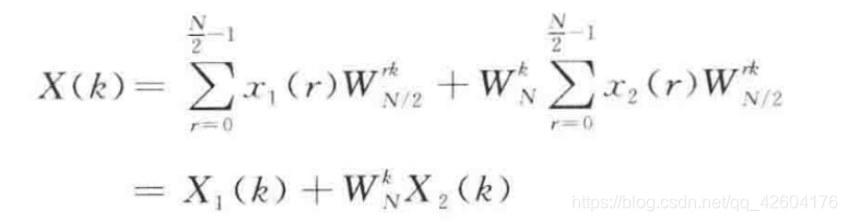
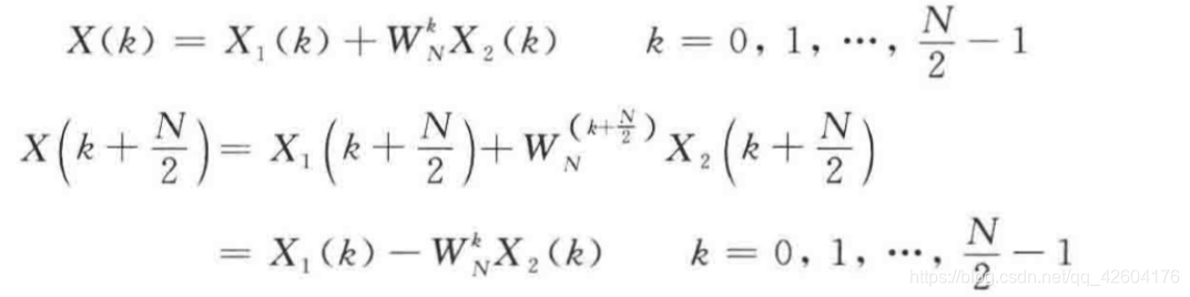
c、一系列化简操作之后

d、蝶形信号流

 以N=8的序列为例:
 
e、计算量总结
因而通过第一步分解后, 总共需要(N^2/2)+(N/2)=N(N+l )/2约等于 N^2/2 次复数乘法和 N( N/2-1 )+N = N^2/2 次 复数加法。由此可见,通过这样分解后的运算工作量差不多节省了一半。
2、N/2 到 2*N/4
a、分解X2(k)序列

b、蝶形信号流(2列)

3、N/4 到 2*N/8
a、蝶形信号流(3列)

【3】公式总结
由于乘法的运算量较大,我们从乘法角度来探讨一下,DFT和FFT的运算量。
 设N=2^M;有M列的蝶形信号运算。
 
 从乘法角度:DFT需要N^2,FFT需要N*lbN;
 
 当N=2048时,这一比值为372.4,即直接计算DFT的运算量是FFT运算量的372.4倍。
 当点数N越大时,FFT的优点更为明显。
【4】特点以及程序框架讲解
1、原址运算

 计算之后,将新的X(k)覆盖原本的X(k)。
 注意:是将同一行的X进行覆盖(后面的列覆盖前面的列),不同行之间是没有覆盖关系的。
 所以,最后只需要N个存储单元。(N个数据,N行)
2、倒位序规律
输出X(k),序列正常。
 输入序列不正常。
 原因:X(n)按照标号n的奇偶而不断分组。
 例子:
 
 步骤流程:
 I+1,最低位+1,向左进位。
 J在二进制最高位+1,逢2向右进位。
 由此可以从当前的倒序值计算求得下一个倒序值。
 
 观察变址处理,可以发现,只有当J>I时,才将X(I)和X(J)存储内容进行互换。
3、蝶形运算两节点的距离
输入为倒位序,输出为正位序,N=2^ M,在第m级运算,两个节点间的距离为2^(m-1);
4、WN^r的确定
r的变换规律:
 1、运算两个节点中第一个节点标号为k,表示为M位的二进制数。
 2、将此二进制数乘以2^(M-m),相当于左移M-m位,把右边空出,此数位r的二进制数。
5、程序框架

【5】代码实现
没有验证代码的正确性,只是按照上面的流程图进行叙述。
#define PI 3.14159//数位倒读
int rev(int i, int m) {//i=0~2^m,m为二进制位数 int j = 0;while (m > 0) {j += (i & 0x01) * (0x01 << (m - 1));//j+=(i%2)*mypow(2,m-1);i >>= 1;//i/=2m -= 1;}return j;
}//快速傅里叶变换
//输入x(n)、N
//输出X(k)
void fft(const float real_in[], const float imag_in[], float real_out[], float imag_out[],int N) 
{//【1】获取Mint M = log2(N);	//【2】倒序for (int i = 0;i < N;i++) {//数位倒读 int j;j = rev(i, M);real_out[j] = real_in[i];imag_out[j] = imag_in[i];}//【3】for (int m = 1;m <= M;m++){int B = 2 ^ m - 1;for (int J = 0;J <= B - 1;J++){int P = 2 ^ (M - m) * J;for (int k = J;k <= N - 1;k++){float tmpr1, tmpi1, tmpr2, tmpi2;//临时变量float theta = -2 * PI * P / N ;tmpr1 = real_out[k];tmpi1 = imag_out[k];tmpr2 = cos(theta) * real_out[k + B] - sin(theta) * imag_out[k + B];tmpi2 = cos(theta) * imag_out[k + B] + sin(theta) * real_out[k + B];real_out[k] = tmpr1 + tmpr2;imag_out[k] = tmpi1 + tmpi2;real_out[k + B] = tmpr1 - tmpr2;imag_out[k + B] = tmpi1 - tmpi2;}}}
}
参考资料:
《数字信号处理第三版.刘顺兰版》