什么是信号?
它的定义及其宽泛,但在我们电子通信工程中,我们可以把它看成一种波形;在数学上,我们可以把它看成一个函数。说到函数,函数又分为离散与连续,信号也是一样,分为离散信号与连续信号。连续信号如一段时间内通过一个电阻电流的变化,离散信号如股市的指数变化。
离散与连续信号的表示
离散:x[n]x[n]x[n] nnn总是在整数上有定义
连续:x(t)x(t)x(t) t为实数
信号的时移变换、放缩变换
我们在这里变换的原则是,先翻折,再按照“左加右减”的原则移动信号的波形,如果代表时间的自变量ttt前面有系数,你要把系数消到1,下面举个例子:
- x(4−t2)x(4-\frac{t}{2})x(4−2t)
- x[−12(t−8)]x[-\frac{1}{2}(t-8)]x[−21(t−8)]
第二个式子就是由第一个式子得来,它题目会怎么考察你?
就是给你一个x(t)x(t)x(t)的图像让你来做变换。
ttt前面的系数,如果大于1,图像就要像被压缩一样收缩一下;如果小于1,图像就会像被人拉宽了一张在坐标轴上伸展。原因是你是在用原来的ttt去除现在ttt前面的那个系数。
如果t<0t<0t<0,就是关于y轴做了一个颠倒,这个初中数学里就学过。
我们的目光再回到刚才的那两个式子,如果要用语言描述一下第一个式子变化到第二个式子的结果,那么就是:
- 关于y轴翻转一次,横坐标变为原来的二倍
- 向右移动8个单位
这样就得到了第二个图像
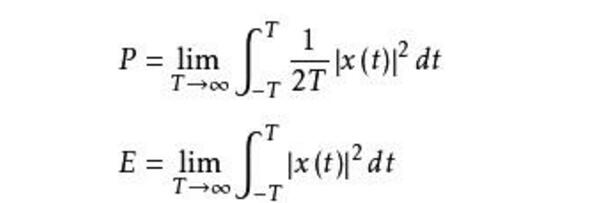
信号的能量与功率
信号可分为能量有限信号和功率有限信号。如果信号的功率是有限的,则称为功率有限信号,简称功率信号。功率信号的能量为无限大。它对通信系统的性能有很大影响,决定了无线系统中发射机的电压和电磁场强度。

周期信号属于功率信号

在离散信号中:

但要注意的是:
在这里插入图片描述

因果与反因果信号
简答的理解,一个有输入才有输出,后者你还没输入呢就有输出了

阶跃函数
阶跃函数是一种特殊的连续时间函数,是一个从0跳变到1的过程,属于奇异函数。在电路分析中,阶跃函数是研究动态电路阶跃响应的基础。利用阶跃函数可以进行信号处理、积分变换。在其他各个领域如自然生态、计算、工程等等均有不同程度的研究。

单位冲激函数
它是一个“面积”等于1的理想化了的窄脉冲。也就是说,这个脉冲的幅度等于它的宽度的倒数。当这个脉冲的宽度愈来愈小时,它的幅度就愈来愈大。当它的宽度按照数学上极限法则趋近于零时,那么它的幅度就趋近于无限大,这样的一个脉冲就是“单位冲激函数”。在实际工程中,像“单位冲激函数”这样的信号是不存在的,至多也就是近似而已。在理论上定义这样一个函数,完全是为了分析研究方便的需要。


单位冲激函数与阶跃函数之间的求导关系要牢记
阶跃函数求导后可以得到冲激函数

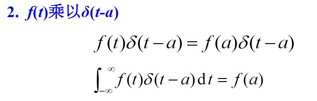
冲激函数的取样
冲激函数与其他函数相乘,由于其独特的定义,相乘的结果就相当于在冲激函数的冲激时刻给f(x)f(x)f(x)取样,但前提是你得包含冲激函数的取样时刻在里面。

后边的δ(t)\delta(t)δ(t)只在0时刻有值为1,所以这个积分一秒钟得到答案,为f(0)f(0)f(0)
再看这个:

任何时刻与后面的冲击函数相乘,你把前面那个函数的ttt用0代替了就可以了,答案是−22-\frac{\sqrt{2}}{2}−22
下面一种情况:

再来看一道例题:

答案是0,因为它没有包含冲击所在的区间也就是t=1的时刻