【问题描述】
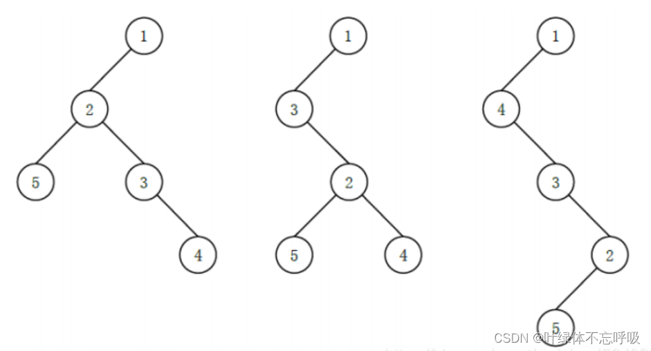
对于一棵多叉树,我们可以通过 “左孩子右兄弟” 表示法,将其转化成一棵二叉树。如果我们认为每个结点的子结点是无序的,那么得到的二叉树可能不唯一。换句话说,每个结点可以选任意子结点作为左孩子,并按任意顺序连接右兄弟。给定一棵包含 N 个结点的多叉树,结点从 1 至 N 编号,其中 1 号结点是根,每个结点的父结点的编号比自己的编号小。请你计算其通过 “左孩子右兄弟” 表示法转化成的二叉树,高度最高是多少。注:只有根结点这一个结点的树高度为 0 。例如如下的多叉树:

可能有以下 3 种 (这里只列出 3 种,并不是全部) 不同的 “左孩子右兄弟”表示:

其中最后一种高度最高,为 4。
【输入格式】
输入的第一行包含一个整数 N。
以下 N −1 行,每行包含一个整数,依次表示 2 至 N 号结点的父结点编号。
【输出格式】
输出一个整数表示答案。
【样例输入】
5
1
1
1
2
【样例输出】
4
【评测用例规模与约定】
对于 30% 的评测用例,1 ≤ N ≤ 20;
对于所有评测用例,1 ≤ N ≤ 100000。
解题思路:①看到树并且根据题意可以知道类似求最长路径,可以使用深度优先搜索dfs算法,即找节点的孩子,再继续找该孩子的孩子…直到没有再回退。②可以使用一个ArrayList数组来存储每个节点及其孩子(类似图的邻接表存储),也就是说ArrayList数组的元素也是ArrayList,每个ArrayList元素存储着该节点及其子孩子。
Java代码:
import java.util.ArrayList;
import java.util.Scanner;public class Tree {static int res = 0; //结果(最高树高)static ArrayList<Integer>[] lists; //存储节点及其子孩子(类似一个邻接表)public static void main(String[] args) {Scanner scanner = new Scanner(System.in);int n = scanner.nextInt();lists = new ArrayList[n+1]; //后面我们是从下标1开始存储,因此这里不要忘记+1//初始化(相当于填充进每个节点,数组下标即为该节点编号)for (int i = 1; i < n+1; i++) {lists[i] = new ArrayList<Integer>();}//构建邻接表,将每个节点的孩子放到该下标的ArrayList里for (int i = 2; i < n+1; i++) {int node = scanner.nextInt();lists[node].add(i);}//从节点1(即根节点)开始dfs即可访问全部,因为这是一棵树dfs(0,1);System.out.println(res);}//深度优先搜索dfspublic static void dfs(int total, int father){//获取当前节点孩子个数int size = lists[father].size();//如果当前节点没有孩子,则重置res并返回if (size == 0) {res = Math.max(res,total);return;}//对该节点的孩子依次进行dfsfor (int temp : lists[father]){dfs(total+size,temp);}}
}