一、实验目的与要求
1、了解微分对采样噪音的灵敏响应。
2、了解平滑算法抑制噪音的作用。
3、进一步学习MATLAB及其仿真环境SIMULINK的使用。
二、仿真软硬件环境
PC机,MATLAB R2012b。
三、实验原理
如图微分加在正反馈输入端,计算机用D(Z)式进行微分运算。R为阶跃输入信号,C为系统输出。由于微分是正反馈,当取合适的微分时间常数时,会使系统响应加快。若微分时间常数过大,则会影响系统稳定性。

四、D(Z)设计
1、未平滑时的D(Z)
用一阶差分代替微分运算:

式中TD为微分时间常数,T为计算机采样周期。
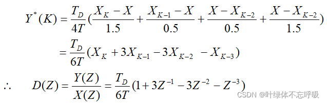
2、平滑后的D(Z)
微分平滑运算原理如图:

取Y*(k)为四个点的微分均值,有

五、SIMULINK仿真结构图

六、仿真实验记录


七、思考题
1、微分噪音与采样噪音和采样周期T有什么关系?与微分时间常数有什么关系?
答:在采样周期T相同时,TD越大,微分噪音越严重;TD相同时,采样周期T越小,微分噪音越严重。
2、平滑后系统输出有无改善?是否一定需要平滑?
答:由图1和2以及3和4对比可知,微分平滑后输出有了明显改善。并非所有的情况下都需要平滑,在系统输出情况良好的情况下,无需平滑。