文章目录
- 订单销售类型
- 订单优惠
- 优惠方式
- 子订单优惠金额
- 订单拆单
- 订单发货
- 销售订单拆单逻辑图
- 销售订单的信息结构
- 相关实体
- 订单运营类型(作废)
- 售后截止时间
- 订单状态
- 状态机的设计
- 不同属性组合下的订单状态
- 组合1:实物+线上+非预售+非定制+非拼单+快递
- 组合2:实物+线上+预售+定制+非拼单+自提
- 组合3:实物+线上+非预售+非定制+非拼单+自提
- 组合4:实物+线上+非预售+非定制+非拼单+配送
- 组合5:服务+线上+非预售+非定制+非拼单+线上
- 组合6:服务+线上+非预售+非定制+非拼单+上门/到店
- 组合7:虚拟+线上+非预售+非定制+非拼单+线上
- 组合8:实物+线上+非预售+非定制+拼单+快递
- 组合9:实物+线下+非预售+非定制+非拼单+自提
- 订单管理原型设计
- 买家小程序端原型
- 商家管理后台PC端订单管理原型
订单销售类型
-
自销订单
-
分销订单
具体是指“推广分销”的订单,和供货商之间不产生采购单
订单优惠
优惠方式
买家没有承担任何成本而获取到的减免就属于优惠,例如:金币、积分、优惠券(现金券、折扣券)1
、现金红包、 卖家直减2都是属于优惠方式,用来抵扣“应付金额”,被抵扣部分对买家而言属于免费部
分,买家实际并没有承担相应的成本。
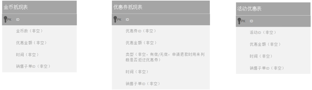
子订单优惠金额
-
子订单优惠金额=活动优惠金额+无偿优惠券抵扣金额+有偿优惠券抵扣金额+金币(即积分)抵扣金额+直减金额(商品改价产生)。
-
主订单的优惠金额必须分摊到单个SKU上,这样才能算出商品的最终交易价和卖家实际收款金额。
-
有偿优惠券抵扣金额必须单独统计出来,退款时才能折算成金币返还给买家
订单拆单
- 不同店铺的订单同时提交时,系统会按店铺拆分生成多个主订单,而每个主订单又会按SKU拆分生成多个子订单,同时会生成一个“联合单号”,用来关联多个主订单
- 单店铺的订单提交时系统会按店铺生成一个主订单,再根据SKU的数量生成多个子订单,此时主订单号等于“联合单号”,付款时生成一笔支付单,同样与此“联合单号”关联
- 待付款的相关联的销售订单必须在买家端合并显示,而且只能一起付款或者一起取消,付款后相关联的订单不再合并展示
销售子单不能说成SKU,销售子单只是根据不同的SKU生成的销售订单,销售子单包含一个SKU,即销售子单与SKU是一对一的关系,即一笔销售子订单对应一个SKU,或对应一种单品,或对应一种品项,或对应一款商品。
订单发货
开通仓储系统的商家不支持在订单中直接发货,必须前往仓储中心找到相关的出库单完成“发货”操作
销售订单拆单逻辑图

销售订单的信息结构

相关实体

订单运营类型(作废)
不同运营类型的订单状态和业务流程不同,有的订单需要核销功能,有的订单需要买家确认收货,有些订单需要商家确认送达,所以需要通过类型来区分和判断相关的逻辑。不同类型的订单建议设计在同套数据表中,因为在后台不同类型的订单会展示在一起。
1. 拼团型快递订单
2. 预售型快递订单
3. 常规型快递订单
4. 自提订单
5. 配送订单(即外卖订单)
6. 线上服务订单
7. 线下服务订单
8. 常规快递+线下服务订单
【途虎养车】就是典型的快递+线下服务相结合的应用,通过实物商品关联服务商品,用户下单时可以选择或不选择有关的服务,选择服务产生的订单就是快递+线下服务订单,不选择服务产生的就是快递类订单
9. 预售定制自提订单
售后截止时间
买家确认收货后,根据收货时间+7天(后台可配置)计算得到售后截止时间
订单状态
SaaS电商系统需要满足尽可能多的客户,就要满足尽可能多的商业模式,无疑就要求订单系统兼容更多的业务运营模式,而不同业务模式的订单的状态是不同的,所以系统该如何判断订单应该使用哪种状态机呢?
系统之前是通过“订单运营类型”字段来保存尽可能多的类型,然后根据不同订单运营类型设计不同的状态机,现在改成更加合理的做法,就是在销售主单增加“商品类型”、“是否预售”、“是否定制”、“交易方式”、“是否拼单”、“下单方式”6个字段,通过这6个字段进行不同的组合,每种组合会对应一种状态机,订单生成时需要保存销售订单和状态机的关联关系
下单类型:线上下单、线下开单
商品类型:实物、虚拟、服务、实物+服务
是否预售:预售、非预售
是否定制:定制、非定制
是否拼单:拼单、非拼单
交易方式:自提、配送、快递、线上、上门、到店、快递+到店、快递+上门
P.S. 虚拟商品的交易方式就是线上
订单属性组合和状态机的关系表
| 状态机代码 | 销售订单属性条件 | 说明 |
|---|---|---|
| 001 | 实物+线上下单+非预售+非定制+非拼单+快递 | 001的状态机对应一个根据相关的状态逻辑图写成的方法 |
| 002 | 实物+线上下单+预售+定制+非拼单+自提 | 002的状态机对应一个根据相关的状态逻辑图写成的方法 |
| 003 | 实物+线上下单+非预售+非定制+非拼单+自提 | 003的状态机对应一个根据相关的状态逻辑图写成的方法 |
| 004 | 实物+线上下单+非预售+非定制+非拼单+配送 | 004的状态机对应一个根据相关的状态逻辑图写成的方法 |
| 005 | 服务+线上下单+非预售+非定制+非拼单+线上 | 005的状态机对应一个根据相关的状态逻辑图写成的方法 |
| 006 | 服务+线上下单+非预售+非定制+非拼单+上门 | 006的状态机对应一个根据相关的状态逻辑图写成的方法 |
| 006 | 服务+线上线上下单+非预售+非定制+非拼单+到店 | 到店服务订单也使用006的状态机 |
| 007 | 虚拟+线上下单+非预售+非定制+非拼单+线上 | 007的状态机对应一个根据相关的状态逻辑图写成的方法 |
| 008 | 实物+线上下单+非预售+非定制+拼单+快递 | 008的状态机对应一个根据相关的状态逻辑图写成的方法 |
| 009 | 实物+线下开单+非预售+非定制+非拼单+自提 | 009的状态机对应一个根据相关的状态逻辑图写成的方法 |
销售订单和状态机的关系表
| 销售主单ID | 状态机代码 |
|---|---|
| 202005267788520 | 001 |
| 202005267788522 | 002 |
状态机的设计
入参:销售子单ID,事件(不同事件会对应不同的修改状态的方法)
说明:根据订单ID获取当前状态和状态转变事件,根据事件参数判断要执行哪个修改状态的方法
举例:假设售后完成后执行销售订单的销售状态机,得知订单绑定的状态机代码001,系统调相关的方法,传相关参数(事件:退款,销售子单ID:xxxxxxxxxxxxx),根据销售子单ID可以获知子单当前状态为“未发货”,并且知道转变成为下个状态有2个事件:发货、退款,两个事件会对应两个方法。而当前事件为:退款,于是程序会执行“退款改状态”的方法,该方法会去获取销售子单关联的所有“退款成功”的退款单,汇总退款金额,判断退款总额是否等于子单的实付金额,相等则将子单状态转变成“退款成功”,否则状态不变。而销售子单状态一旦更新成功,需要再调修改销售主单状态的方法,也是传相关参数(事件:退款,销售主单ID:xxxxxxxxx),根据销售主单ID可以获知主订单当前状态为“等待商家发货”,并且知道转变成为下个状态有2个事件:发货、退款,而当前事件为:退款,于是程序会执行“退款改状态”的方法,该方法会去获取当前销售主单关联的全部销售子单的状态,判断是否全部为“退款成功”,是则将销售主单的状态转变成“订单关闭”,否则状态不变。
P.S. 全部从子单状态开始判断,子单状态更改成功后再修改主单的状态,从“现态”转变成“次态”往往是需要条件的。上述例子中销售主单的事件:退款,等待商家发货(现态)→订单关闭(次态)的条件:所有子单的状态为:退款成功
不同属性组合下的订单状态
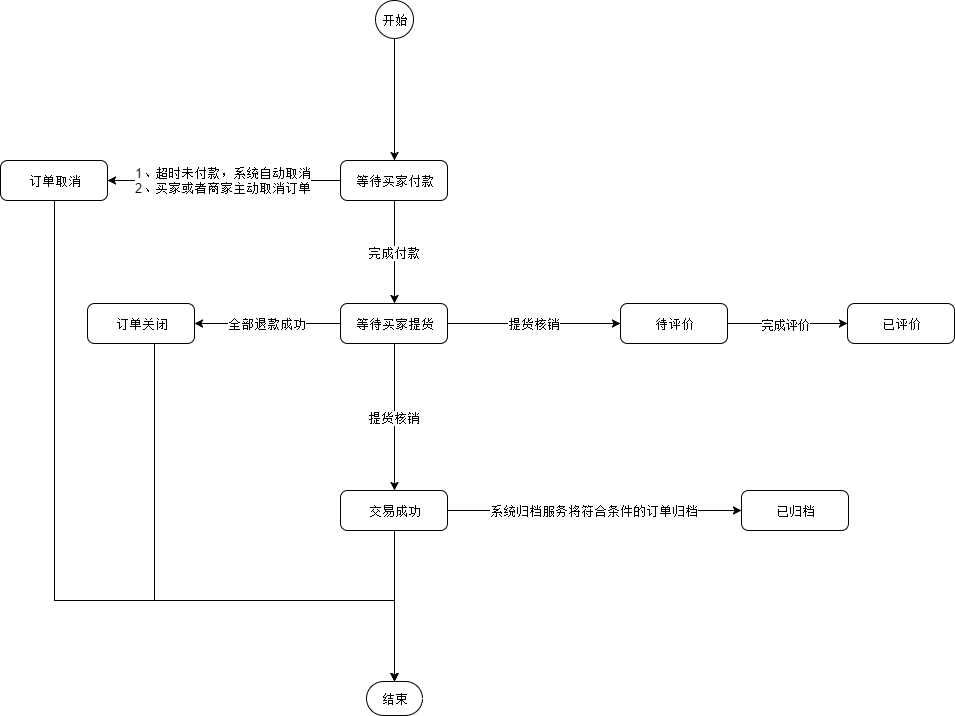
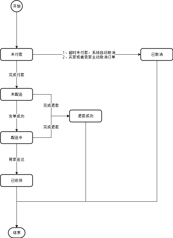
组合1:实物+线上+非预售+非定制+非拼单+快递
主订单状态图

子订单状态图

组合2:实物+线上+预售+定制+非拼单+自提
主单状态图

子单状态图

关于自提订单的提货流程设计,点击查看提货核销设计方案
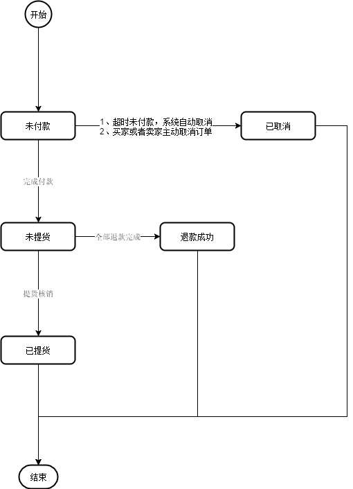
组合3:实物+线上+非预售+非定制+非拼单+自提
主单状态图

子单状态图

关于自提订单的提货流程设计,点击查看提货核销设计方案
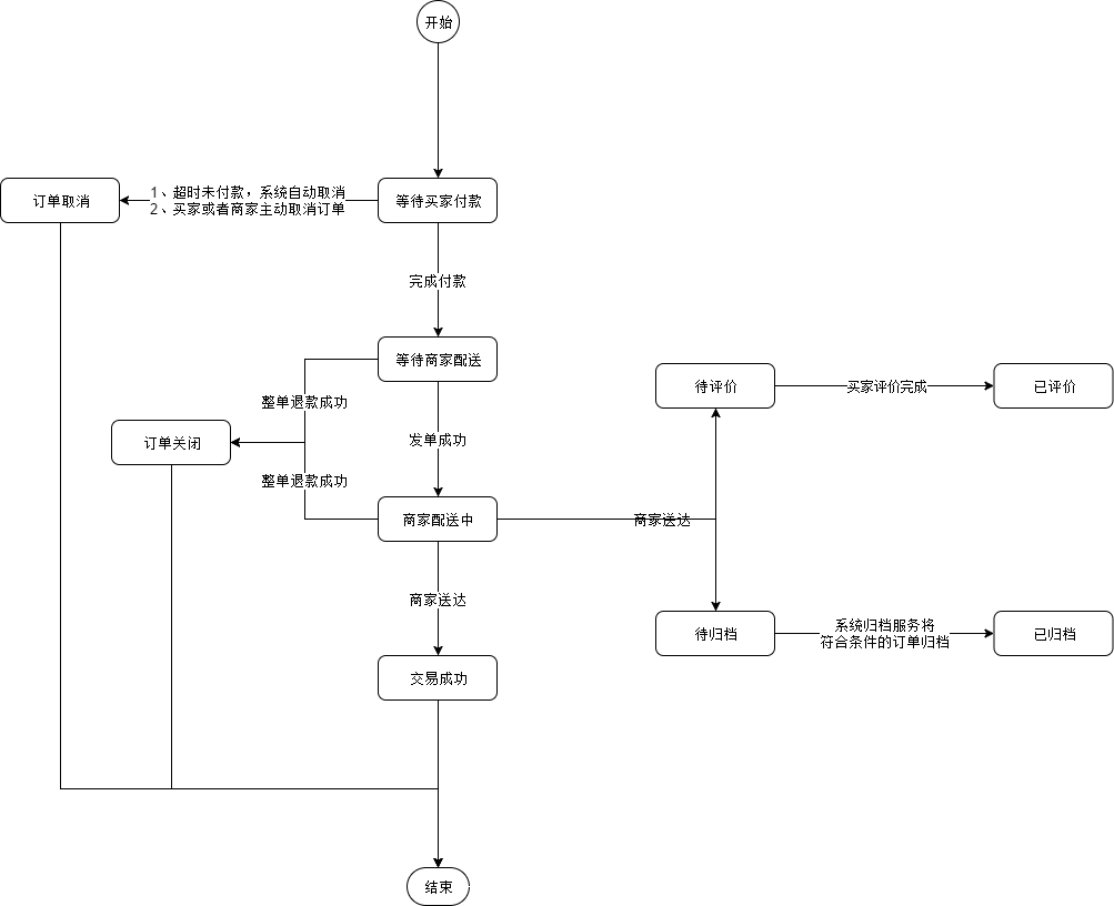
组合4:实物+线上+非预售+非定制+非拼单+配送
主订单状态图

子订单状态图

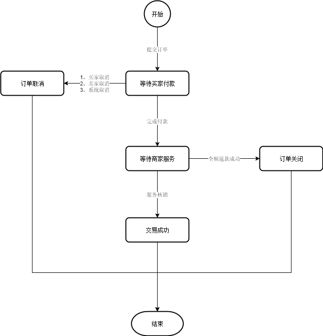
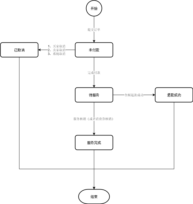
组合5:服务+线上+非预售+非定制+非拼单+线上
销售主单状态图

销售子单状态图

组合6:服务+线上+非预售+非定制+非拼单+上门/到店
销售主单状态图

销售子单状态图

组合7:虚拟+线上+非预售+非定制+非拼单+线上
销售主单状态图

销售主单状态图

组合8:实物+线上+非预售+非定制+拼单+快递
点击查看拼团系统设计
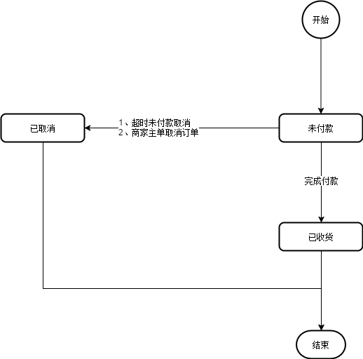
组合9:实物+线下+非预售+非定制+非拼单+自提
销售主单状态图

销售子单状态图

订单管理原型设计
-
状态为“等待商家服务”的服务订单合并到“待发货”的订单列表中
-
状态为“等待买家确认”的服务订单合并到“待收货”的订单列表中
买家小程序端原型
点击查看交互原型
商家管理后台PC端订单管理原型
点击查看交互原型
有偿获取的优惠券也属于优惠范畴,参考美团外卖优惠券的方案 ↩︎
卖家直接将未付款的订单商品调低价格 ↩︎