在介绍CFR+算法之前,我们首先介绍一下基础概念。
在CFR+算法中,counterfactual utility被定义为以下形式:
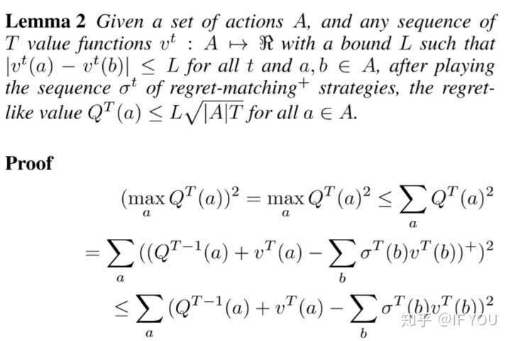
然后在regret的基础上,CFR+算法定义了一个regretlike value,注意在这里CFR+算法的regret为一个累加值,而CFR算法定义的regret为平均值,需要乘以1t:
另外,在CFR+算法中,最后输出的平均策略为以下形式:
然后CFR+算法的bound为:

bound证明

在对Lemma 1的证明过程中,我们可以得出以下结论:


我们得到了
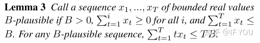
然后我们引入Lemma 3, Lemma 3很容易证明,可以直接看出:

然后证明Lemma 4:

Lemma 4的证明就是将原有的序列扩充为1,2,3,。。。,T,这样的话等于有(T^2+T)/2的过程,然后我们再引入Lemma 3,这样的就可以求出新的bound:
然后我们由CFR算法的定义可知
于是可以得到新的
结论
从CFR算法和CFR+算法的证明过程中我们可以获取以下证明过程范式。
首先定义average overall regret:

因为直接优化average overall regret困难,然后我们定义immediate counterfactual regret,并且最优化他,但是优化这个困难,于是我们优化他的拟合项counterfactual regret,使其小于
在CFR+算法中,我们的counterfactual regret没有除t。但是我们得到了一个结论:
然后我们计算累加的counterfactual regret:
为了求出上面公式的bound,我们一般需要Lemma 3,而在LCFR中,需要在Lemma 3的基础上进行进一步的扩展。
然后我们证明