正题
题目大意
一个nnn行的不完全矩阵第iii行有m+i−1m+i-1m+i−1个格子,然后每个格子有危险度。
每次可以从(i,j)(i,j)(i,j)走到(i−1,j)(i-1,j)(i−1,j)或(i−1,j−1)(i-1,j-1)(i−1,j−1)
求
- m次,每个格子和路不可以重复走的最小危险度。
- m次,路不可以重复但是格子可以的最小危险度。
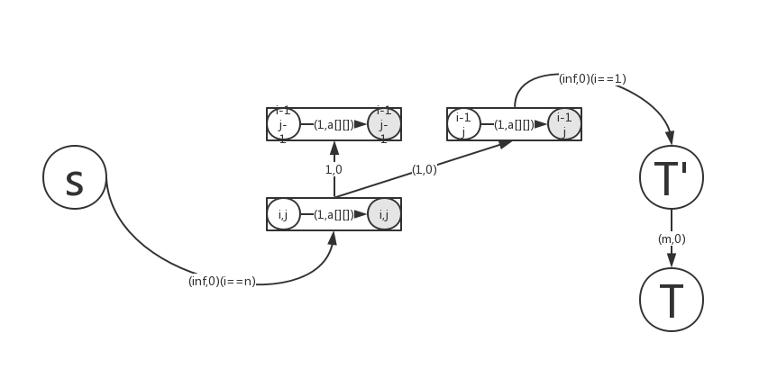
解题思路
显然网络流,把点拆开就可以限制重复走的。

然后第二问改一下就好了
codecodecode
#include<cstdio>
#include<algorithm>
#include<queue>
#include<cstring>
#define p(x,y,z) 2*((y-1)*n+x)-z
using namespace std;
const int N=200,inf=2147483647/2;
struct node{int to,next,w,c;
}a[8*N*N];
int ans,n,m,s,e,tot=1,dan[N][2*N],t;
int f[2*N*N],mf[2*N*N],ls[2*N*N],pre[2*N*N];
bool v[2*N*N];
queue<int> q;
void addl(int x,int y,int w,int c)
{a[++tot].to=y;a[tot].next=ls[x];ls[x]=tot;a[tot].w=w;a[tot].c=c;a[++tot].to=x;a[tot].next=ls[y];ls[y]=tot;a[tot].w=0;a[tot].c=-c;
}
bool spfa()
{memset(f,0x3f,sizeof(f));mf[s]=inf;f[s]=0;v[s]=1;q.push(s);pre[e]=0;while(!q.empty()){int x=q.front();q.pop();v[x]=0;for(int i=ls[x];i;i=a[i].next){if(!a[i].w)continue;int y=a[i].to;if(f[x]+a[i].c<f[y]){f[y]=f[x]+a[i].c;mf[y]=min(a[i].w,mf[x]);pre[y]=i;if(!v[y]){q.push(y);v[y]=1;}}}}return pre[e];
}
void over_path()
{int now=e,w=0,flow=mf[e];ans+=mf[e]*f[e];while(now!=s){a[pre[now]].w-=flow;a[pre[now]^1].w+=flow;now=a[pre[now]^1].to;}
}
void Net_flow()
{while(spfa())over_path();
}
int main()
{scanf("%d%d",&n,&m);e=0;s=p(n,n+m-1,1)+1;t=s+1;for(int i=1;i<=n;i++)for(int j=1;j<=m+i-1;j++){scanf("%d",&dan[i][j]);if(i==1)addl(p(i,j,1),t,inf,0);if(i==n)addl(s,p(i,j,0),inf,0);addl(p(i,j,0),p(i,j,1),1,dan[i][j]);if(j<m+i-1&&i>1) addl(p(i,j,1),p(i-1,j,0),1,0);if(j>1&&i>1) addl(p(i,j,1),p(i-1,j-1,0),1,0);}addl(t,e,m,0);Net_flow();printf("%d\n",ans);ans=0;tot=1;memset(ls,0,sizeof(ls));for(int i=1;i<=n;i++)for(int j=1;j<=m+i-1;j++){if(i==1)addl(p(i,j,1),t,m,0);if(i==n)addl(s,p(i,j,0),m,0);addl(p(i,j,0),p(i,j,1),m,dan[i][j]);if(j<m+i-1&&i>1) addl(p(i,j,1),p(i-1,j,0),1,0);if(j>1&&i>1) addl(p(i,j,1),p(i-1,j-1,0),1,0);}addl(t,e,m,0);Net_flow();printf("%d",ans);
}