acwing221 龙哥的问题
文章目录
- 题目:
- 题解:
- 代码:
题目:

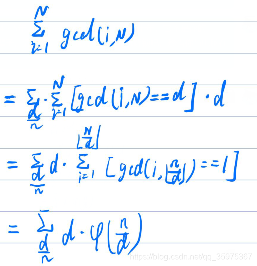
题解:

代码:
#include <bits/stdc++.h>
using namespace std;
typedef long long ll;int phi(int x)
{int ans=x;for(int i=2;(ll)i*i<=x;++i)if(x%i==0){ans=(ll)ans*(i-1)/i;while(x%i==0) x/=i;}if(x>1) ans=(ll)ans*(x-1)/x;return ans;
}int main()
{int n;scanf("%d",&n);ll ans=0;for(int i=1;(ll)i*i<=n;++i)if(n%i==0){ans+=(n/i)*phi(i);if(i*i!=n) ans+=i*phi(n/i);}printf("%lld",ans);return 0;
}