给你两棵二叉树的根节点 p 和 q ,编写一个函数来检验这两棵树是否相同。
如果两个树在结构上相同,并且节点具有相同的值,则认为它们是相同的。
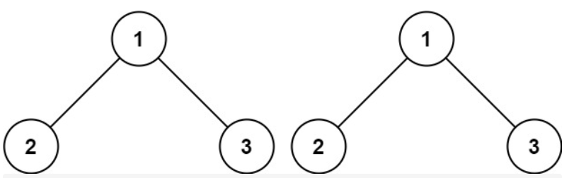
示例 1:

输入:p = [1,2,3], q = [1,2,3]
输出:true
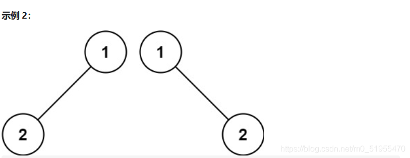
示例 2:

输入:p = [1,2], q = [1,null,2]
输出:false
示例 3:

输入:p = [1,2,1], q = [1,1,2]
输出:false
提示:
两棵树上的节点数目都在范围 [0, 100] 内
-104 <= Node.val <= 104
代码如下:
/*** Definition for a binary tree node.* struct TreeNode {* int val;* TreeNode *left;* TreeNode *right;* TreeNode() : val(0), left(nullptr), right(nullptr) {}* TreeNode(int x) : val(x), left(nullptr), right(nullptr) {}* TreeNode(int x, TreeNode *left, TreeNode *right) : val(x), left(left), right(right) {}* };*/
class Solution {
public:bool isSameTree(TreeNode* p, TreeNode* q) {if(p==nullptr && q==nullptr) return true;else if (p==nullptr || q==nullptr) return false;else if (p->val != q->val) return false;else return isSameTree(p->left,q->left) && isSameTree(p->right , q->right);}
};