给定一个二叉树,找出其最小深度。
最小深度是从根节点到最近叶子节点的最短路径上的节点数量。
说明:叶子节点是指没有子节点的节点。
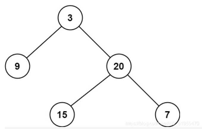
示例 1:

输入:root = [3,9,20,null,null,15,7]
输出:2
示例 2:
输入:root = [2,null,3,null,4,null,5,null,6]
输出:5
提示:
树中节点数的范围在 [0, 10^5] 内
-1000 <= Node.val <= 1000
代码如下:
/*** Definition for a binary tree node.* struct TreeNode {* int val;* TreeNode *left;* TreeNode *right;* TreeNode() : val(0), left(nullptr), right(nullptr) {}* TreeNode(int x) : val(x), left(nullptr), right(nullptr) {}* TreeNode(int x, TreeNode *left, TreeNode *right) : val(x), left(left), right(right) {}* };*/
class Solution {
public:int minDepth(TreeNode* root) {if (root==nullptr) return 0;if (root->left==nullptr && root->right==nullptr) return 1;int min_d = INT_MAX;if (root->left!=nullptr){min_d = min(min_d,minDepth(root->left));}if (root->right!=nullptr){min_d = min(min_d,minDepth(root->right));}return min_d+1;}
};