给定一个二叉树,判断它是否是高度平衡的二叉树。
本题中,一棵高度平衡二叉树定义为:
一个二叉树每个节点 的左右两个子树的高度差的绝对值不超过 1 。
示例 1:

输入:root = [3,9,20,null,null,15,7]
输出:true
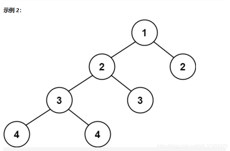
示例 2:

输入:root = [1,2,2,3,3,null,null,4,4]
输出:false
示例 3:
输入:root = []
输出:true
提示:
树中的节点数在范围 [0, 5000] 内
-10^4 <= Node.val <= 10^4
代码如下:
/*** Definition for a binary tree node.* struct TreeNode {* int val;* TreeNode *left;* TreeNode *right;* TreeNode() : val(0), left(nullptr), right(nullptr) {}* TreeNode(int x) : val(x), left(nullptr), right(nullptr) {}* TreeNode(int x, TreeNode *left, TreeNode *right) : val(x), left(left), right(right) {}* };*/
class Solution {
public:bool isBalanced(TreeNode* root) {return height(root) >= 0;}int height(TreeNode *root){if (root==nullptr) return 0;int left_h = height(root->left);int right_h = height(root->right);if (left_h==-1 || right_h==-1 || abs(left_h-right_h) > 1) return -1;elsereturn max(left_h,right_h)+1;}
};