全世界只有3.14 % 的人关注了
青少年数学之旅
泰勒展式 (Taylor expansion) 的剩余项救人一命!
在俄国革命期间(1917年左右),数学物理学家塔姆 (Igor Tamm) 外出找食物,在靠近敖德萨 (Odessa) 的乡间被反共产主义的保安人员逮捕。保安人员怀疑他是反乌克兰的共产主义者,于是把他带回总部。
- 头目问:你是做什么的?
- 塔姆:我是一位数学家。
头目心存怀疑,拿着枪,手指扣着扳机,对准他。
手榴弹也在他的面前晃动。
- 头目说:好吧,那么一个函数作泰勒展开到第 n 项之后,你就把误差项算出来。如果你算对了,就放你一条生路,否则就立刻枪毙。
于是塔姆手指发抖,战战兢兢地慢慢计算,当他完成时,头目看过答案,挥手叫他赶快离开。
塔姆在1958年获得诺贝尔物理奖,但是他从未再遇到或认出这位非凡的头目。
笔者讲授微积分,每教到泰勒定理时,都要顺便说这个故事,让学生警惕一番。
泰勒展开定理就是要利用微分与积分工具,来剖析函数的结构。
假设函数 f 定义在开区间 (a,b) 上,并且
,当我们知道 f 的资讯越多,对f 的剖析就越精细。
,当我们知道 f 的资讯越多,对f 的剖析就越精细。这个资讯包括两方面,一个是 f 的可微分的阶数逐渐提高,这是一种泛泛的条件;另一个是 f 在一点 c 的各阶微分系数的阶数也不断增加,这是在一点(局部)的资讯之逐渐加深。
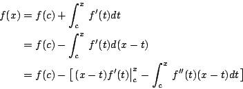
- (i) 若 f 为一阶连续可微分,并已知 f(c) 之值,那么由微积分根本定理的 Newton-Leibniz 公式知
亦即 f(x) 可以剖析为清楚的 f(c) 与尚未完全清楚的
两项之和。 - (ii) 若 f 为二阶连续可微分,并且已知 f(c) 与 f'(c) 的值,那么由(1)式与分部积分公式得知
从而
亦即 f(x) 可以剖析为清楚的一次多项式 f(c)+f'(c)(x-c) 与尚未完全清楚的
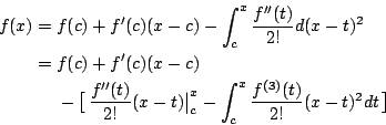
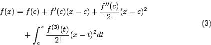
。 - (iii) 若 f 为三阶连续可微分,并且已知f(c), f'(c) 与 f''(c) 之值,那么由(2)式与分部积分公式得知
从而
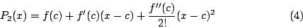
亦即 f(x) 可以剖析成清楚的二次多项式
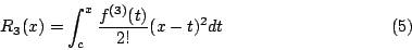
与尚未完全清楚的剩余项
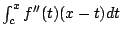
利用积分的平均值定理,(5)式又可以写成
我们称 P2(x) 为二阶泰勒多项式。
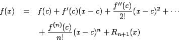
按上述要领,继续做下去(数学归纳法),我们就得到如下美丽的泰勒展开定理。
- 泰勒展开定理(1715年):
- 设函数 f 在区间 (a,b) 上具有 n+1 阶连续地可微分,
,则对任意
,f(x) 可以展开成
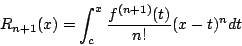
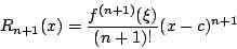
其中的剩余项(或误差项)Rn+1(x) 可以表成微分形式或积分形式:
其中 ξ 介于 c 与 x 之间,或
注:泰勒(B. Taylor, 1685~1731)是牛顿的学生,具有相当的音乐与艺术才华。他为了探求音律之谜,首开其端用微积分来研究弦振动问题(1713年),约一个世纪之后,富立叶(Fourier)分析出现才达于高潮(1807年)。泰勒也研究投影画法的几何学,其美术作品至今仍然被珍藏于伦敦的国家画廊(the National Gallery)之中。
参考来源:http://9yls.net/4413.html版权归原作者所有,转载仅供学习使用,不用于任何商业用途如有侵权请留言联系删除,感谢合作。






写在最后
微信公众号“少年数学家”
提供丰富的数学课外知识
数学人物、数学趣谈、科技与数学
想让孩子懂得更多有趣的数学
记得关注“少年数学家”
