日本惊现神操作!偷偷研究飞刀方程致使厕所爆炸......

欢快如厕

为何大声惨叫

前几天,竟然有模友私信超模君,说这是不是真的。

网友私信截图

WTF!

数学史上就有一道“奇葩的”难题,是历代数学家们在厕所里解决的。

厕所冥想

1917年,为了给日本武士增添生活趣味,数学家挂谷宗一(Kaichiba Soichi Kakeya)提出了有味道的“挂谷问题”。

某天,一位武士在上厕所时遭到敌人袭击,矢石如雨,为了挡住射击,需要将刀旋转一周360°(支点可以变化)。但厕所很小,应当使刀扫过的面积尽可能小。面积可以小到多少?

Soichi Kakeya

正是这么一道弥漫厕所芬芳的问题,让人一度血脉喷张,无法自拔。就连常年喜欢在推特张扬个性的美国总统特朗普先生,也深陷其中。

虽然不少人觉得这个问题很无厘头,但在专业的数学家看来,再无厘头的问题,换成数学语言后,都会变成一道有趣的题目。

长度为1的线段在平面上做刚体移动(转动和平移),转过360度并回到原位置,扫过的最小面积是多少?

并且只需考虑旋转180°的情况,因为360°只是180°的重复相加。

长度为1的线段可在点集中转过180°,这样的点集被称为挂谷集

历代著名数学家纷纷加入了厕所挥刀的浪潮,为了让日本武士可以愉快的上厕所,他们使出了浑身解数。

一刀泯恩仇

首当其冲是某数学爱好者的自转刀法,顾名思义,就是将刀绕中心自转一周

自转刀法

毫无灵魂的瓜皮旋转,看起来没有什么技术含量。这种战斗力只有5的渣渣操作,就好像铁头娃在你面前耍了一套愣头刀法。

但不管怎么说,这毕竟是挥出了挂谷问题的第一刀。

不久,德国工程师Franz Reuleaux发现的鲁洛克斯三角形引起了数学家们的广泛关注。

因为在鲁洛克斯三角形里面,竟然隐藏着一套有规律的神秘刀法。

鲁洛克斯刀法

细心观察,你会发现线段固定一个端点旋转60°后,会固定另一个端点旋转60°。而更神奇的是,这刀法挥出的形状竟然还有点像粽子。

一时间,鲁洛克斯刀法名声大噪,传遍了整个数学界。

但强中更有强中手,挂谷宗一的同事Matsubara FujiwaraTadahiko Kubota,一语道破鲁洛克斯刀法的弊端。

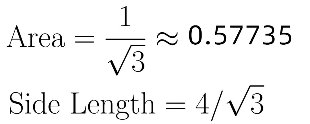
紧接着,他们在鲁洛克斯三角形的基础上调整优化,提出了撼动厕所的正三角形刀法

正三角形刀法

这是第一次成功融入平移的刀法!

更令人震惊的是,普通的正三角形竟能以18%的显著压缩,技压鲁洛克斯刀法。

“这就是极限了吗?”尽管正三角形刀法技高一筹,但数学家们还是提出了质疑。其中,就包括问题提出者挂谷宗一。

他认为,面对极限面积这样复杂的数学难题,只有通过形象直观的图解法,才能发现其背后隐藏的规律。

点击图片即可掌握数学图解思维

按照图解思路,他将正三角形放在鲁洛克斯三角形里进行分析。

果然,这一关键的图解对比,使挂谷宗一有了惊人的发现:三角形的边在向内收敛。

灵感就在一瞬间,他突然想到了三尖瓣线(Steiner曲线)。

Steiner曲线

没有半刻犹豫,他反手就拿起刀,在空中划出那一道性感的弧线。

Steiner刀法

区别于正三角形刀法的先旋转后平移,Steiner刀法更加注重整体平衡,使得线段的平移和旋转可以同时进行。

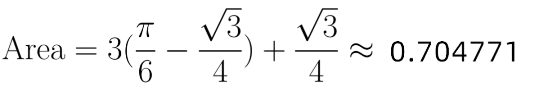
而更令人震撼的是,用Steiner刀法扫过的面积竟然再次被缩小,只有π/8≈0.392......

所以,在接下来很长的一段时间里,包括挂谷宗一本人,几乎所有数学家都认为这就是最小面积,是挂谷问题的最终解。

Besicovitch飞刀

然而,到了1928年。就在所有人都以为挂谷问题已尘埃落定的时候,前苏联数学家贝西科维奇(Besicovitch),一个风一样的男人出现了。

虽然Besicovitch从来没有看过小李飞刀,但却深深明白“天下武功唯快不破”的硬道理。

他并不满足于在前人智慧上原地踏步的Steiner刀法,他认为真正的至高境界是任意小

Besicovitch

为了突破常见形状,他摒弃了原有的思考方向,采用了新的旋转+平移方法。

举个栗子,如果要将下图右上方的线段移到左下方,其基本思路就是沿着箭头方向滑移——旋转——滑移

“乍眼一看,虽然刀法平平无奇。但你要明白,简单的招式练到极致就是绝招。”Besicovitch一直是这样坚信着。

由于线条没有宽度,因此无论线条沿线条方向走多远,面积均为零。所以,只要通过增加线条、缩小旋转角度,就可以让线段扫过的面积变的无限小。

Besicovitch飞刀

鬼畜般的飞刀,眼花缭乱的旋转跳跃,让人摸不着头脑。

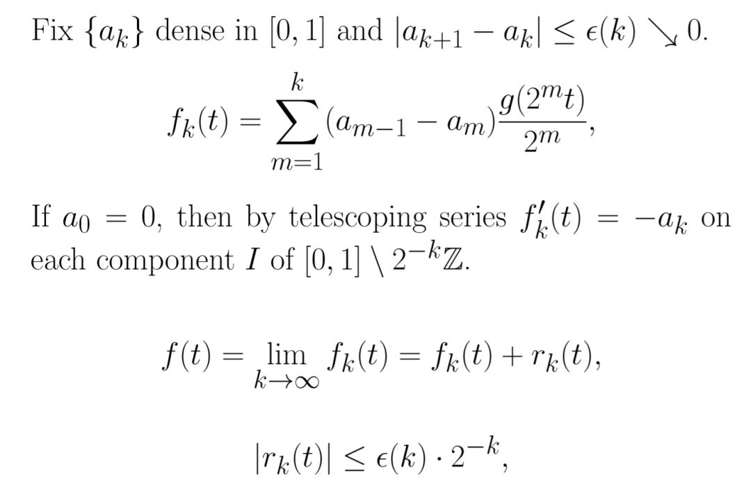
但当看完下面的数学公式和极限的思维,数学家才知道每一次鬼畜都被Besicovitch安排的明明白白。


任意小面积的提出固然是吊打所有刀法,但正所谓物极必反,其占据空间范围却是前所未有的大,人们不得不开始担心厕所爆炸的问题。

关于这个问题,历史里并没有记载Besicovitch的回答,但你要相信。

Besicovitch

虽然Besicovitch的答案并不完美,但其出乎意料的结论却成为了挂谷问题的亮眼标签。

它是叱咤一时的江湖传奇,也是难以超越的时代经典。

然而,任何东西都不可能得到所有人的认可。

面对神话般存在的Besicovitch刀法,有人持否定的态度:除了炸飞厕所之外,还有什么鸟用?

时光荏苒,岁月如梭。如今,在良心房地产商的设计图纸中,我们似乎找到了答案。

一个充满数学底蕴的艺术精品,将厕所面积利用率科学提升至100%。

超模君知道,这,是最好的厕所。

作者简介:超模君,数学与交叉科学教育自媒体博主。爱分享有用的数学建模知识,爱深挖有趣的交叉科学人物故事,爱为靠谱的现代教育产品打call。著有《芥子须弥·大科学家的小故事》,由清华大学出版社2019年出版。

本文系网易新闻·网易号“各有态度”特色内容

参考资料:

1.http://corollary2525.hatenablog.com/entry/2016/12/22/063948

2.https://www.youtube.com/watch?v=pWk57HpPJmQ

转载自:超级数学建模

超模君文创会员

注册会员立即领取:

   - 30元*2  数学文化衫优惠券   

   - 20元*1  数学艺术礼盒优惠券

   - 15元*1  数学帆布包优惠券 

更多会员专属福利:

- 会员最低可享受7.9折文创产品优惠

- 会员可有机会免费获取限量定制文创礼品

扫描二维码注册会员

立领¥95现金抵扣券

本文来自互联网用户投稿,该文观点仅代表作者本人,不代表本站立场。本站仅提供信息存储空间服务,不拥有所有权,不承担相关法律责任。如若转载,请注明出处:http://www.mzph.cn/news/297484.shtml

如若内容造成侵权/违法违规/事实不符,请联系多彩编程网进行投诉反馈email:809451989@qq.com,一经查实,立即删除!

相关文章

(转)学习密度与专注力

转自:http://mindhacks.cn/2007/05/24/learn-to-focus/作者:刘未鹏上次学校里面有一个免费的李阳英语讲座,好奇于是就去听了一下。对一句话印象比较深刻,大意是说许多人学了快10年的英语,其开口的时间还不如在集训的七…

抓取手机https_python爬虫入门02:教你通过 Fiddler 进行手机抓包

哟~哟~哟~hi起来everybody今天要说说怎么在我们的手机抓包通过python爬虫入门01:教你在 Chrome 浏览器轻松抓包我们知道了 HTTP 的请求方式以及在 Chrome 中摸清了一些套路但是除了对数据进行解析之外有时候我们想对请求的数据或者响应的数据进行篡改怎么做呢&#…

BeetleX进程服务管理组件应用

有些时候需要在程序中启动和管理其他应用进程,当碰到这样的需求的时候可以通过Process对象来完成;为了让使用和管理更方便在这基础上封装 了BeetleX.ServicesProcess组件,通过组件的管理中心让进程操作更方便,同时还集成了Web套件…

server 2008 服务器不能访问 java项目,Java 8上的SQL Server JDBC错误:驱动程序无法使用安全套接字层(SSL)加密建立到SQL Server的安全连接...

我在一个Linux实例上的Java 8 JVM中启用了SSL记录,从而再现了这个问题.使用-Djavax.net.debug ssl:handshake:verbose打开SSL日志记录.这显示了一些有用的信息.我们在生产中使用并已证明可以为我们工作的解决方法是在JVM上设置此参数:-Djdk.…

自动上传下载

#!/bin/bashftp -n<<!open 192.168.1.171user guest 1234561. -n 不受.netrc文件的影响。&#xff08;ftp默认为读取.netrc文件中的设定&#xff09;2. << 是使用即时文件重定向输入。3. !是即时文件的标志它必须成对出现&#xff0c;以标识即时文件的开始和结尾#!…

升级总代分享思路_桃生企业至尊七郎瓷砖新展厅全新升级惊艳亮相

桃生企业至尊七郎瓷砖新展厅惊艳亮相&#xff0c;将艺术和时尚完美融合&#xff0c;即将成为晋江天工建材城的新地标&#xff01;2020年桃生企业逆流升级进行中&#xff0c;全新展厅即将揭幕&#xff01;全新空间 对话年轻轻奢于行&#xff0c;优雅于里&#xff0c;全新一楼的…

常胜游戏系列:填满硬币

题目&#xff1a; 有个桌子&#xff0c;两个人交替往桌子上放硬币&#xff0c;当桌子被填满时&#xff0c;最后一个放硬币者获胜。求常胜策略。 方法&#xff1a; 每次都第一个先放&#xff0c;放在桌子中心&#xff0c;之后始终放在对方的对称位置。 转载于:https://blog.51ct…

烧脑又过瘾!关于c²= b² + a²,你不知道的N个事实

全世界只有3.14 % 的人关注了爆炸吧知识勾股定理你真的懂吗一般人看来&#xff0c;勾股定理只存在于特定的三角形或几何图形中。但实际上&#xff0c;绝大多数人都小看了这条有2600年历史的公式&#xff0c;很多看似不可能的图形&#xff0c;只要涉及到了平方数&#xff0c;勾股…

[snmp++]读取cisco路由交换机信息[一] - 环境搭建

首先从网上下载gn3这个摸拟器以及cisco路由器的bin. 如图&#xff0c;下面的clouds里添加本地连接&#xff0c;这样表示路由器与本机的网卡桥接。即在R2里的接口设置一个与本机的IP地址同一网段。这样局域网的机就可以与R2通信 R2的配置如下 snmp-server community public RO 读…

小手拍拍机器人_幼儿园互动儿歌游戏,小朋友瞬间变听话!

原标题&#xff1a;幼儿园互动儿歌游戏&#xff0c;小朋友瞬间变听话&#xff01;幼儿天生好玩好动&#xff0c;儿歌是孩子最喜爱的互动之一&#xff0c;在幼儿园的一日常规中&#xff0c;巧用儿歌互动&#xff0c;既有利于幼儿智力开发&#xff0c;又能让幼儿配合活动&#xf…

Dapr + .NET 实战(六)绑定

什么是绑定处理外部事件或调用外部接口的功能就是绑定&#xff0c;绑定可以提供以下好处&#xff1a;避免连接到消息系统 ( 如队列和消息总线 ) 并进行轮询的复杂性聚焦于业务逻辑&#xff0c;而不是如何与系统交互使代码不受 SDK 或外部库的强耦合处理重试和故障恢复Dapr提供了…

c#web服务器 虚拟目录,C#建立自己的Web服务器

C#建立自己的Web服务器个人珍藏,仅为存档.今天整理磁盘,没处放.扔BLOG.看不懂,别问我.自己研究.webserver.csnamespace cnnbsun.webserver{using System;using System.IO;using System.Net;using System.Net.Sockets;using System.Text;using System.Threading ;class MyWebSer…

对象中multipartfile 空报错_Python 为什么会有个奇怪的“...”对象?

我想到一种特别的写法&#xff0c;很多人会把它当成 pass 语句的替代。在文章发布后&#xff0c;果然有三条留言提及了它。所谓特别的写法就是下面这个&#xff1a;# 用 ... 替代 passdef foo():...它是中文标点符号的半个省略号&#xff0c;也即由英文的 3 个点组成。如果你是…

XP硬盘安装Fedora14图文教程

XP硬盘安装Fedora14图文教程发表于&#xff1a;2010年11月03日 分类&#xff1a;Fedora 26 条评论 5,044 次阅读 昨天是Fedora 14的发布&#xff0c;这篇文章介绍的是如何在windows XP下硬盘安装Fedora 14。 之前写过2篇文章&#xff1a; Linux下硬盘安装Fedora 13&#xff1a;…

oracle使用sqlplus查询sql格式

连接sqlplus 显示表结构&#xff1a; desc acceptuser 列表显示表或者视图acceptuser 所有的列 Name Type id number value varchar(200) createdata date 输入命令: col id formate a10 //表示只显示10个宽度 不换行 col value format a…

用wamper打开php源码_php源码该怎么设置数据库

php源码该怎么设置数据库php源码修改数据库的设置方法&#xff1a;首先在源码中找到程序的配置文件&#xff1b;然后用文本编辑器打开&#xff1b;之后修改数据库地址、数据库名、用户名、连接密码、数据库前缀等参数&#xff1b;最后保存即可。这里以织梦程序为例&#xff0c;…

豆瓣评分9.0+,这几部纪录片看一部少一部!

纪录片是以真实生活为创作素材&#xff0c;以真人真事为表现对象&#xff0c;并对其进行艺术的加工与展现的&#xff0c;以展现真实为本质&#xff0c;并用真实引发人们思考的电影或电视艺术形式。好的纪录片就像打开了一扇新世界的大门&#xff0c;让我们了解更多世界的奇妙之…

记一次 .NET 某纺织工厂 MES系统 API 挂死分析

一&#xff1a;背景 1. 讲故事这个月中旬&#xff0c;有位朋友加我wx求助他的程序线程占有率很高&#xff0c;寻求如何解决&#xff0c;截图如下&#xff1a;说实话&#xff0c;和不同行业的程序员聊天还是蛮有意思的&#xff0c;广交朋友&#xff0c;也能扩大自己的圈子&#…

Windows7下注册OCX的注意事项

文章首发于&#xff1a;博客园 今天要测试一个几年前基于.NET Framework1.1做的软件在Window7下的工作情况&#xff0c;发现Windows7很体贴的已经默认安装了最新版的Framework3.5.1。程序跑的很顺畅&#xff0c;看来Win7的向下兼容性果然不错。 不过途中发现有一个用到的OCX控件…

获取iOS 设备上崩溃日志 (Crash Log)的方法

1. iTunes同步获取 大部分用户会使用iTunes软件来管理iPhone&#xff0c;这样同步的Crash日志就会同步到电脑上&#xff0c;我们需要在特定的路径里面查找 Mac OS X&#xff1a;~/Library/Logs/CrashReporter/MobileDevice 2. 使用第三方软件 &#xff1a; itools等 使用itool…