《数据结构》学习笔记
第1章 绪论

1.1 数据结构的研究内容
计算机计算数值时,一般经过一下步骤:
 1.从具体问题抽象出数学模型(实质是分析问题)。
 2.设计一个解次数学模型的算法。
 3.编写程序,进行测试、调试,直到问题解决。
数据结构要研究非数值计算问题,非数值计算问题无法用数学方程建立数学模型。
1.2 基本概念和术语
 
 1.2.1
 数据项(Data Item):是组成数据元素、有独立含义的、不可分割的最小单位。
 数据元素(Data Element):是数据的基本单位,也称为元素、记录等;用于完整地描述一个对象。
 数据对象(Data Object):是性质相同的数据元素的集合,只要集合内元素的性质均相同,都可称之为一个数据对象;是数据的一个子集。
 数据(Data):是客观事物的符号表示,是所有能输入到计算机中并被计算机程序处理的符号的总称。
 (数据项<数据元素<数据对象<数据)
1.2.2 数据结构
 
 数据结构(Data Structure)是相互之间存在一种或多种特定关系的数据元素的集合。数据结构是带“结构”的数据元素的集合,“结构”就是指元素之间存在的关系。
-1.逻辑结构
 从逻辑关系上描述数据,与数据的存储无关,是独立于计算机的。
 分为两个要素:
- 数据元素
- 关系
常见的四类基本结构:
 图1.3
 (1)集合结构:数据元素之间除了“属于同一个集合”的关系外,别无其它关系。
 (2)线性结构:数据元素之间存在一对一的关系。
 (3)树结构:数据元素之间存在一对多的关系。
 (4)图结构或网状结构:数据元素之间存在多对多的关系。
-2. 存储结构
 数据对象在计算机中的存储表示称为数据的存储结构,也称为物理结构。
 (1)顺序存储结构:借助元素在存储器中的相对位置来表示数据元素之间的逻辑关系,通常借助数组来描述。要求所有元素依次存放在一片连续的存储空间中。
 表1.2
(2)链式存储结构:无需占用一整块存储空间。给每个结点附加指针字段,用于存放后继元素的存储地址,从而来表示结点之间的关系。
 图1.5
1.2.3 数据类型和抽象数据类型
 -1. 数据类型(Data Type)
 是高级程序设计语言中的一个基本概念,在程序设计语言中,每一个数据都属于某种数据类型。类型明显或隐含地规定来数据的取值范围,存储方式以及允许进行的运算,数据类型是一个值的集合和定义在这个值集上的一组操作的总称。
-2. 抽象数据类型(Abstract Data Type, ADT)
 一般指由用户定义的、表示应用问题的数学模型,以及定义在这个模型上的一组操作的总称,具体包括三部分:数据对象、数据对象上关系的集合、数据对象的基本操作的集合。
 在高级语言中,则给出更高一级的数据抽象,出现了数据类型,如整形、实型、字符型等,可以进一步利用这些类型构造出线性表、栈、队列、树、图等复杂的抽象数据类型。
1.3 抽象数据类型的表示与实现
 表示和实现抽象数据类型,最好用面向对象的方法。
1.4 算法和算法分析
 
1.4.1 算法的定义及特性
 算法(Algorithm)是为了解决某类问题而规定的一个有限长的操作序列。五个重要特征:
- 有穷性
- 确定性
- 可行性
- 输入
- 输出
1.4.2 评价算法优劣的基本标准
- 正确性
- 可读性
- 健壮性
- 高效性
1.4.3 算法的时间复杂度
 算法效率分析的目的是看算法实际是否可行,并在同一问题存在多个算法时,可进行时间和空间性能上的比较,以便从中挑选出较优算法。
-1. 问题规模和语句频度。
 问题规模:算法求解问题输入量的多少,是问题大小的本质表示,一般用整数n表示。n越大算法的执行时间越长。
 语句频度(Frequency Count):一条语句的重复执行次数。
算法中基本语句重复执行的次数是问题规模n度某个函数f(n);算法的时间复杂度为:T(n)=O(f(n))
算法执行时间的增长率和f(n)的增长率相同,称做算法的渐进时间复杂度,简称时间复杂度(Time Complexity)。
为了方便比较不同算法的时间效率,我们仅比较它们的数量级(最高次幂),数量级越小,算法越优。
-2. 计算时间复杂度基本方法
- 找出语句频度最大的语句(也就是执行次数最多的语句)。
- 执行次数表示为关于问题规模n的某个函数f(n)。
- 取其数量级(最高次幂)。
-3. 算法的时间复杂度分析举例
 例1.
x=0, y=0;                  #执行1次
for(int k=0; k<n; k++)     #从0~n,结束循环要多判断一次,所以执行n+1次x++;                   #从0~n,执行n次
for(int i=0; i<n; i++)     #执行n+1次for(int j=0; j<n; j++) #外层没执行一次,内层执行n+1次,所以n(n+1)次y++;               #n乘以n次
上述代码,数量级最大的为二次方,所以T(n)=O(n*2)
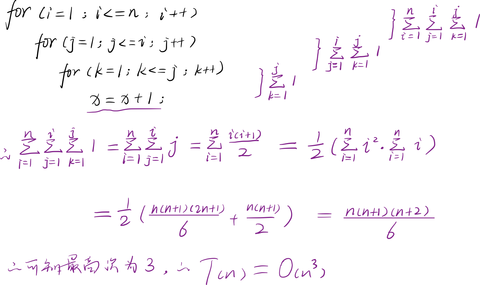
例2.
 
例3.
 
例4.
 
1.4.4 算法的空间复杂度
…持续修改完善中