6.5共轭方向法
6.5.1 共轭方向



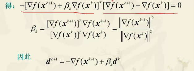
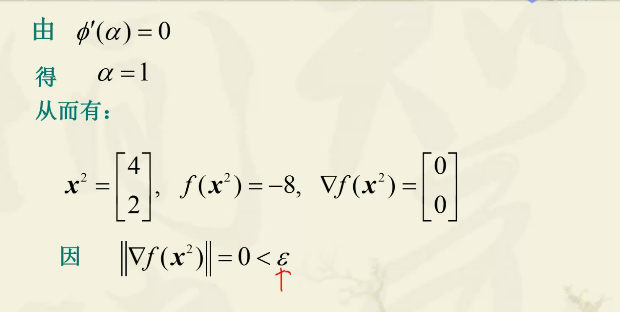
6.5.1 共轭梯度法





















6.6单纯形法(不考)








6.7最小二乘法


6.7.2 改进的高斯-牛顿最小二乘法









































本文来自互联网用户投稿,该文观点仅代表作者本人,不代表本站立场。本站仅提供信息存储空间服务,不拥有所有权,不承担相关法律责任。如若转载,请注明出处:http://www.mzph.cn/news/256641.shtml
如若内容造成侵权/违法违规/事实不符,请联系多彩编程网进行投诉反馈email:809451989@qq.com,一经查实,立即删除!