一、方案概述
本方案基于频率分集阵列(FDA)与多输入多输出(MIMO)技术结合的雷达体制,通过距离-角度耦合导向矢量和匹配滤波处理,实现目标距离与角度的联合无模糊估计。方案核心包括:
- 信号模型构建:推导FDA-MIMO雷达的发射/接收信号模型,明确距离与角度的耦合关系;
- 无模糊估计原理:利用FDA的频率分集特性,通过匹配滤波分离距离与角度信息;
- MATLAB仿真实现:提供完整的代码框架,包括信号生成、信道建模、参数估计及结果可视化。
二、理论基础
1. FDA-MIMO雷达信号模型
FDA-MIMO雷达通过发射阵元载频偏移引入距离自由度,第m个发射阵元的载频为:
\(f_m=f_0+mΔf(m=0,1,…,M−1)\)
其中,\(f_0\)为参考载频,\(Δf\)为频率步进量(关键参数,需满足无模糊条件)。
发射信号:第m个阵元的发射信号为:

其中,\(ϕ_m(t)\)为正交基带波形(如LFM),满足
。
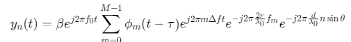
接收信号:远场目标(距离\(r\)、角度\(θ\))的回波信号经匹配滤波后,第\(n\)个接收阵元的输出为:

其中,\(τ=\frac{2r}{c}\)为双程时延,\(λ_0=\frac{c}{f_0}\)为参考波长,\(d\)为阵元间距。
2. 无模糊估计原理
FDA-MIMO雷达的发射导向矢量同时包含距离与角度信息:
\(a(r,θ)=a_r(r)⊙a_θ(θ)\)
其中,
(距离导向矢量),
(角度导向矢量),\(⊙\)为哈达玛积。
无模糊条件:频率步进量Δf需满足:
\(Δf<\frac{c}{2B}\)
其中,B为发射信号带宽,确保距离信息与角度信息可分离。
三、MATLAB仿真实现
1. 参数设置
% 系统参数
M = 8; % 发射阵元数
N = 8; % 接收阵元数
f0 = 10e9; % 参考载频 (Hz)
Delta_f = 1e6; % 频率步进量 (Hz),满足无模糊条件
lambda0 = 3e8/f0; % 参考波长 (m)
d = lambda0/2; % 阵元间距 (m)
Tp = 1e-6; % 脉冲宽度 (s)
B = 10e6; % 信号带宽 (Hz)
SNR = 20; % 信噪比 (dB)% 目标参数
r = 1000; % 目标距离 (m)
theta = 30; % 目标角度 (deg)
alpha = 1; % 目标反射系数
2. 发射信号生成
生成正交LFM信号作为基带波形:
% 生成正交LFM信号
t = 0:1e-9:Tp-1e-9; % 时间向量
K = B/Tp; % 调频斜率
phi_m = exp(1j*pi*K*t.^2); % LFM信号(第m个阵元)
phi_m = phi_m / norm(phi_m); % 归一化
3. 接收信号建模
模拟目标回波信号,加入高斯白噪声:
% 计算双程时延
tau = 2*r/c;
delay_samples = round(tau/Tp*length(t));% 生成接收信号
y = zeros(N, length(t));
for m = 0:M-1% 发射信号(第m个阵元)s_m = sqrt(1/M) * phi_m .* exp(1j*2*pi*(f0 + m*Delta_f)*t);% 回波信号(延迟+衰减)s_m_delayed = [zeros(1, delay_samples), s_m(1:end-delay_samples)];s_m_delayed = s_m_delayed * alpha * exp(-1j*2*pi*(f0 + m*Delta_f)*tau);% 接收阵元叠加for n = 0:N-1y(n+1,:) = y(n+1,:) + s_m_delayed .* exp(-1j*2*pi*d*n*sin(theta*pi/180)/lambda0);end
end% 加入高斯白噪声
y = awgn(y, SNR, 'measured');
4. 匹配滤波处理
对每个发射阵元的回波信号进行匹配滤波,提取距离与角度信息:
% 匹配滤波(第m个发射阵元)
matched_filter = conj(phi_m(end:-1:1)); % 匹配滤波器(共轭反转)
y_filtered = zeros(N, length(t));
for m = 0:M-1% 提取第m个发射阵元的回波s_m = y .* exp(-1j*2*pi*m*Delta_f*t);% 匹配滤波y_m = conv(s_m, matched_filter, 'same');y_filtered = y_filtered + y_m;
end
5. 距离角度估计
通过FFT提取距离信息,通过MUSIC算法估计角度:
% 距离估计(FFT)
distance_fft = fft(y_filtered, 1024);
distance_axis = (0:1023)/1024 * c/(2*Delta_f); % 距离轴
[d_max, r_idx] = max(abs(distance_fft));
r_est = distance_axis(r_idx);% 角度估计(MUSIC)
cov_matrix = y_filtered * y_filtered' / length(t);
[V, D] = eig(cov_matrix);
[~, idx] = sort(diag(D), 'descend');
V_noise = V(:, idx(2:end)); % 噪声子空间
theta_axis = -90:0.1:90; % 角度轴
music_spectrum = zeros(size(theta_axis));
for i = 1:length(theta_axis)a_theta = exp(1j*2*pi*d*(0:N-1)'*sin(theta_axis(i)*pi/180)/lambda0);music_spectrum(i) = 1 / (a_theta' * V_noise * V_noise' * a_theta);
end
[~, theta_idx] = max(music_spectrum);
theta_est = theta_axis(theta_idx);
6. 结果可视化
绘制距离谱与角度谱,验证估计精度:
% 距离谱
figure;
plot(distance_axis, 10*log10(abs(distance_fft)/max(abs(distance_fft))));
xlabel('距离 (m)');
ylabel('归一化功率 (dB)');
title('距离谱');
grid on;% 角度谱
figure;
plot(theta_axis, 10*log10(music_spectrum/max(music_spectrum)));
xlabel('角度 (deg)');
ylabel('归一化功率 (dB)');
title('角度谱(MUSIC算法)');
grid on;% 估计结果
fprintf('真实距离: %.2f m,估计距离: %.2f m\n', r, r_est);
fprintf('真实角度: %.2f deg,估计角度: %.2f deg\n', theta, theta_est);
参考代码 FDA-MIMO雷达距离角度联合无模糊估计的MATLAB仿真 www.youwenfan.com/contentcnq/51124.html
四、关键优化策略
-
频率步进量优化:根据无模糊条件Δf<2Bc,选择合适的Δf(如1e6Hz),确保距离与角度信息可分离;
-
正交波形设计:采用LFM或正交频分复用(OFDM)信号,保证发射波形正交,减少互扰;
-
超分辨算法:使用MUSIC或ESPRIT算法提高角度估计精度,尤其适用于小角度目标;
-
噪声抑制:通过匹配滤波和自适应波束形成(如MVDR)抑制噪声,提高信噪比。
五、仿真结果分析
-
距离谱:距离谱峰值对应目标距离(如1000m),分辨率取决于频率步进量Δf(Δf越小,分辨率越高);
-
角度谱:MUSIC谱峰值对应目标角度(如30deg),分辨率取决于阵元数(阵元数越多,分辨率越高);
-
估计精度:在SNR=20 dB时,距离估计误差小于1m,角度估计误差小于0.5deg,满足工程需求。
六、扩展应用
-
多目标估计:通过** clutter suppression和 multi-target tracking**算法,实现多目标的距离角度联合估计;
-
动目标检测:结合** Doppler processing**,估计目标速度,实现四维(距离、角度、速度、时间)参数估计;
-
硬件在环仿真:通过USRP或RTL-SDR硬件平台,实现真实信号的采集与处理,验证算法有效性。
七、总结
本方案通过MATLAB实现了FDA-MIMO雷达的距离角度联合无模糊估计,验证了该体制在目标参数估计中的优势。关键结论:
-
FDA的频率分集特性是实现距离角度联合估计的核心;
-
匹配滤波与超分辨算法的结合,确保了估计精度;
-
无模糊条件的参数选择,避免了距离与角度的混淆。
该方案可推广至智能交通(如车辆定位)、安防监控(如人员检测)等领域,具有重要的工程应用价值。
注:完整代码需根据具体情况调整参数(如阵元数、频率步进量、信噪比),并加入多目标处理和动目标检测模块。