C#/.NET/.NET Core技术前沿周刊 | 第 66 期(2026年1.12-1.18)

news/2026/1/21 22:53:45/文章来源:https://www.cnblogs.com/Can-daydayup/p/19514257

image

前言

C#/.NET/.NET Core技术前沿周刊,你的每周技术指南针!记录、追踪C#/.NET/.NET Core领域、生态的每周最新、最实用、最有价值的技术文章、社区动态、优质项目和学习资源等。让你时刻站在技术前沿,助力技术成长与视野拓宽。

欢迎投稿、推荐或自荐优质文章、项目、学习资源等。

  • 🏆技术前沿周刊Gitee开源地址:https://gitee.com/ysgdaydayup/DotNetGuide/blob/main/docs/DotNet/DotNetWeekly.md
  • 📰技术前沿周刊GitHub开源地址:https://github.com/YSGStudyHards/DotNetGuide/blob/main/docs/DotNet/DotNetWeekly.md

如何用 .NET MAUI 构建 Android 小部件

  • 文章简介: 本博客将介绍之前关于 iOS 小部件的互动小部件的 Android 部分。Android 通常更宽松,作更简单,你可以直接在 Visual Studio 里的 .NET MAUI 项目里构建所有内容。复杂性源于众多可用的任务选项以及需要考虑较旧的安卓版本。就像 iOS 小部件博客里一样,这也不是一步步的教程。相反,它突出显示了你在构建 Android 小部件时通常遇到障碍的顺序中最大且最重要的部分。它从创建一个简单的静态小部件开始,逐步发展成可配置、完全交互的小部件。
  • 文章地址: https://devblogs.microsoft.com/dotnet/how-to-build-android-widgets-with-dotnet-maui/

.NET 和 .NET Framework 2026 年 1 月服务发布更新

  • 文章简介: 欢迎来到我们 2026 年 1 月的联合.NET 服务更新。让我们进入.NET 和.NET Framework 的最新版本,这里简要介绍一下我们服务版本中的新内容。
  • 文章地址: https://devblogs.microsoft.com/dotnet/dotnet-and-dotnet-framework-january-2026-servicing-updates/

如何一步步将 ASP.NET MVC 升级为.NET

  • 文章简介: 将 ASP.NET MVC 应用从.NET Framework 升级到现代.NET 并不是简单的版本提升。此次迁移代表了运行时、托管模型、配置系统、依赖注入和 HTTP 流水线架构的转变。许多团队低估了这一点,把它当作标准的框架升级,结果在流程后期才发现他们应用中的核心假设已经不再成立。好消息是,Microsoft 提供了明确的指导和模式,使得正确操作时迁移过程可预测。本文介绍了一个实用的逐步策略,如何将基于.NET Framework 构建的 ASP.NET MVC 5 应用迁移到运行在现代.NET 上的 ASP.NET Core,同时最大限度地减少风险和停机时间。
  • 文章地址: https://www.cnblogs.com/powertoolsteam/p/19486260

使用 MCP C# SDK 实现 MCP Tool

  • 文章简介: MCP是由Anthropic创建的一个开放协议 现在有官方 C# SDK 了,官方 C# SDK 由原来的 mcpdotnet 发展而来,基于 Microsoft.Extensions.AI 实现,截止写文章的时候(2025-4-1)目前最新版本时 0.1.0-preview 4 了,这一版本中增加了 ModelContextProtocol.AspNetCore NuGet 包,使得实现基于 ASP.NET Core SSE 的 Mcp Server 更加简单了,之前的版本中需要将示例中的扩展拷贝到自己项目中去,有了这个 NuGet 包之后就不需要了,McpServer 目前主要的两种实现方式是 Stdio(标准输入输出) 和 SSE(Server Sent Event),新的规范里提出了基于 Http 的支持,目前暂时还未支持
  • 文章地址: https://mp.weixin.qq.com/s/JSIbOo17zcQrcuCLVWN4XQ

一款专为 WinUI XAML 设计的快速原型设计工具,生成的代码可轻松复制到Visual Studio中!

  • 文章简介: XAML Studio 是一款专为 WinUI XAML 设计的快速原型设计工具,基于 C# 开源(MIT license),生成的代码可轻松复制到 Visual Studio 中的应用中。XAML Studio 让你实时预览 XAML 代码,并与结果互动,就像它在你自己的应用中运行一样。
  • 文章地址: https://mp.weixin.qq.com/s/Kf_MrpoC-I7UbhmUNLusow

image

一个致力于为 C# 程序员提供更佳的编码体验和效率的 Visual Studio 扩展插件

  • 文章简介: Codist 是一个使用 .NET 编写、开源免费的 Visual Studio 扩展插件,致力于为 C# 程序员提供更好的编程体验和生产效率。它不仅强化了语法高亮、快速信息提示、导航栏、滚动条和显示质量,还集成了自动版本号更新、括号自动补全、支持高级编辑功能的智能工具栏、代码分析等功能。
  • 文章地址: https://mp.weixin.qq.com/s/UWuCIY4Q5PJeNClrQWPGEw

image

基于NetCorePal Cloud Framework的DDD架构管理系统实践

  • 文章简介: 前段时间在做一个管理系统的项目,想尝试一下DDD架构在实际项目中的应用。经过一番调研,最终选择了NetCorePal Cloud Framework作为基础框架,结合.NET 10和Vue 3搭建了一套完整的前后端分离架构。今天就想和大家分享一下这个项目的架构设计和技术选型,希望能给正在做类似项目的朋友一些参考。
  • 文章地址: https://www.cnblogs.com/aishangyipiyema/p/19499381

整个项目采用了经典的三层架构,这个结构应该很多做DDD的朋友都比较熟悉。三层之间的依赖关系是单向的:Web层依赖Infrastructure层,Infrastructure层依赖Domain层,Domain层作为核心,不依赖任何其他层。

Ncp.Admin
├── Domain(领域层)
│   ├── AggregatesModel(聚合模型)
│   └── DomainEvents(领域事件)
├── Infrastructure(基础设施层)
│   ├── EntityConfigurations(实体配置)
│   └── Repositories(仓储实现)
└── Web(表现层)
    ├── Application(应用服务层)
    │   ├── Commands(命令)
    │   ├── Queries(查询)
    │   └── DomainEventHandlers(领域事件处理器)
    └── Endpoints(API端点)

WPF 使用 HLSL + Clip 实现高亮歌词光照效果

  • 文章简介: 最近在搓一个Lyricify Lite类似物,原本使用渐变画刷实现歌词高亮,但是发现视觉效果与Apple Music相去甚远:单纯使用白色渐变画刷缺乏“高亮”的光照感觉,而Apple Music的歌词高亮则更像是有光线投射在歌词上,形成一种柔和的发光效果。
  • 文章地址: https://www.cnblogs.com/TwilightLemon/p/19497125

image

基于.NET和C#构建光伏IoT物模型方案

  • 文章简介: 本文主要介绍基于.NET和C#构建光伏IoT物模型的方案。
  • 文章地址: https://www.cnblogs.com/tianqing/p/19490649

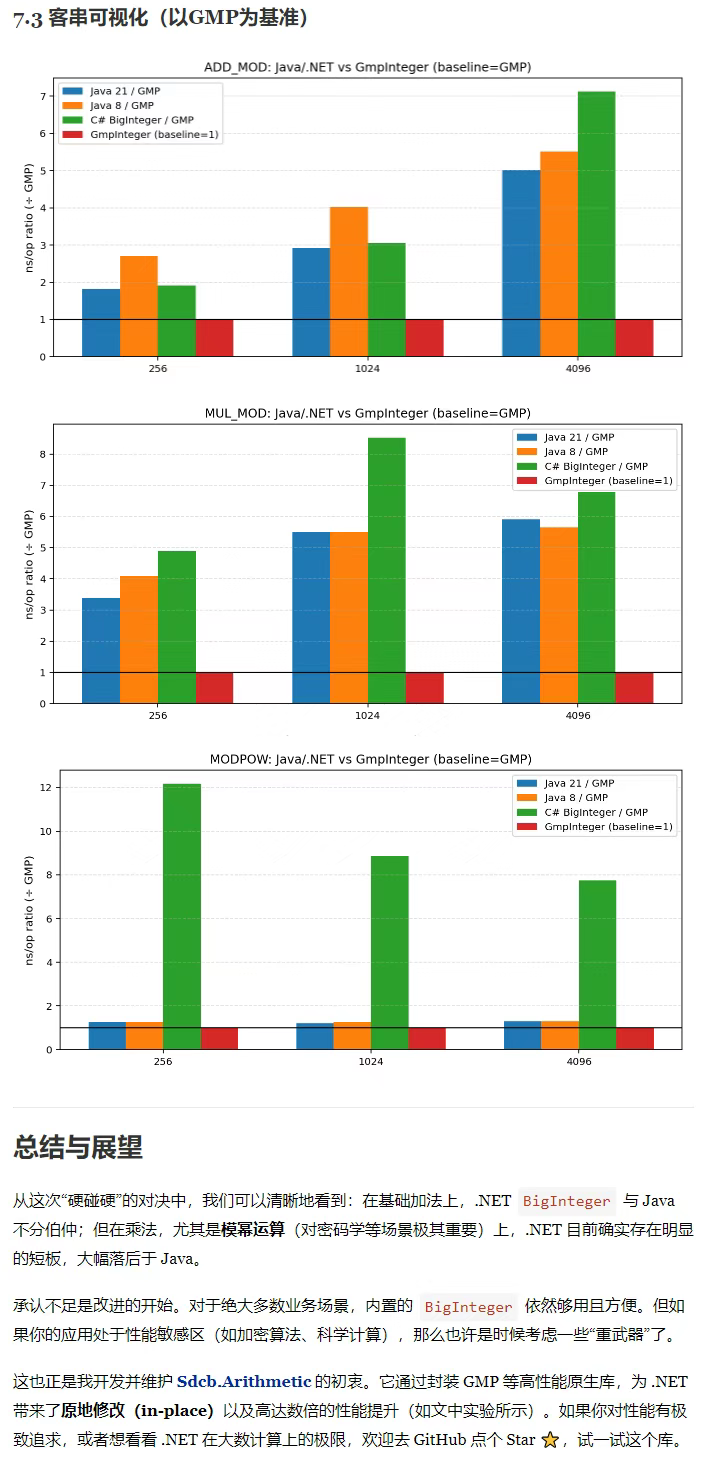
不服跑个分?.NET 10 大整数计算对阵 Java,结果令人意外

  • 文章简介: 我对数值计算的执念,来自初中时代烟雾缭绕的网吧。那时玩《伝奇》,最让我着迷的不是打怪爆装备,而是角色面板里那条长长的经验值。看着数字不断跳动、累积,最终“叮”一声升级,那种简单的数值驱动整个世界运转的感觉,实在太奇妙了。
  • 文章地址: https://www.cnblogs.com/sdcb/p/19484525/20261113-big-integer-dotnet-10-vs-java

image

.NET Aspire 概述

  • 文章简介: .NET Aspire 是 Microsoft 在 Build 2024 上推出的一个开源框架,旨在简化使用 .NET 8 及更高版本创建分布式云原生应用的流程。它通过提供一套工具、模板和最佳实践,让开发者能够更专注于业务逻辑而非基础设施的搭建。本文将详细介绍 .NET Aspire 的核心功能、优势以及如何快速上手使用这一创新框架。
  • 文章地址: https://www.cnblogs.com/powertoolsteam/p/19477015

总结归纳.NET 10 中 Minimal APIs 主要应用场景

  • 文章简介: 本文主要总结归纳.NET 10 中 Minimal APIs 主要应用场景。
  • 文章地址: https://www.cnblogs.com/tianqing/p/19467531

C# 14 中的新增功能

  • 文章简介: C# 14 引入了多项重要更新,以下是主要功能的详细说明。
  • 文章地址: https://www.cnblogs.com/net-kevin-li/p/19476883

跨越技术鸿沟:Aspire 赋能 JavaScript 与 Node.js 开发者的深度生态融合

  • 文章简介: 在云原生应用开发的演进历程中,技术栈的异构性始终是一个核心特征。长期以来,企业级应用开发往往呈现出“双模IT”的特征:后端服务依赖于.NET 生态系统的强类型、高性能和企业级稳健性,而前端交互与部分微服务则广泛采用 JavaScript/TypeScript 生态系统的灵活性与庞大社区资源。这种多语言(Polyglot)架构虽然在功能上互补,但在开发运维(DevOps)的“内循环(Inner Loop)”中却制造了显著的摩擦。开发者常常需要在 Visual Studio 的调试器、复杂的 Docker Compose YAML 文件、散乱的 Shell 脚本以及手动维护的 .env 环境变量文件之间频繁切换。
  • 文章地址: https://www.cnblogs.com/shanyou/p/19474912

.NET 磁盘管理-技术方案选型

  • 文章简介: 在家庭以及企业场景下的网络磁盘产品,使用Iscsi均需要对磁盘进行管理。不同Windows版本、安装第三方软件,导致每个C端用户的运行环境不同,对磁盘的管理带来一定的使用干扰,本文介绍下磁盘管理的几种方案以及存在的一些问题。
  • 文章地址: https://www.cnblogs.com/kybs0/p/19473484

本文来自互联网用户投稿,该文观点仅代表作者本人,不代表本站立场。本站仅提供信息存储空间服务,不拥有所有权,不承担相关法律责任。如若转载,请注明出处:http://www.mzph.cn/news/1196550.shtml

如若内容造成侵权/违法违规/事实不符,请联系多彩编程网进行投诉反馈email:809451989@qq.com,一经查实,立即删除!

相关文章

实用指南:清楚易懂的红黑树讲解

实用指南:清楚易懂的红黑树讲解2026-01-21 22:48 tlnshuju 阅读(0) 评论(0) 收藏 举报pre { white-space: pre !important; word-wrap: normal !important; overflow-x: auto !important; display: block !import…

Java计算机毕设之基于springboot的元宇宙平台的房屋租赁管理系统基于springboot + vue房屋租赁管理系统(完整前后端代码+说明文档+LW,调试定制等)

博主介绍:✌️码农一枚 ,专注于大学生项目实战开发、讲解和毕业🚢文撰写修改等。全栈领域优质创作者,博客之星、掘金/华为云/阿里云/InfoQ等平台优质作者、专注于Java、小程序技术领域和毕业项目实战 ✌️技术范围:&am…

迈向意义共治的智能文明:一份关于AI时代新范式的框架性阐述

迈向意义共治的智能文明:一份关于AI时代新范式的框架性阐述 致读者: 本文旨在为关注人工智能、平台治理与未来文明形态的研究者与实践者,提供一份跨越哲学、技术与制度的综合性思考框架。它不追求提供即时可用的“答…

学习日记之狂神说Java

学习日记之狂神说Java标题 骄傲 骄傲 骄傲 骄傲 字体 Hello World! Hello World! Hello World! Hello World! 引用狂神说Java分割线图片超链接 抖音

Java计算机毕设之基于springboot的婚庆公司服务平台的设计与实现婚庆摄影(完整前后端代码+说明文档+LW,调试定制等)

博主介绍:✌️码农一枚 ,专注于大学生项目实战开发、讲解和毕业🚢文撰写修改等。全栈领域优质创作者,博客之星、掘金/华为云/阿里云/InfoQ等平台优质作者、专注于Java、小程序技术领域和毕业项目实战 ✌️技术范围:&am…

Java毕设项目:基于springboot的婚庆公司服务平台的设计与实现(源码+文档,讲解、调试运行,定制等)

博主介绍:✌️码农一枚 ,专注于大学生项目实战开发、讲解和毕业🚢文撰写修改等。全栈领域优质创作者,博客之星、掘金/华为云/阿里云/InfoQ等平台优质作者、专注于Java、小程序技术领域和毕业项目实战 ✌️技术范围:&am…

【性能测试】14_JMeter _JMeter测试报告

文章目录 一、聚合报告1.1 各项指标含义1.2 重点关心的性能指标1.3 导出聚合报告 二、生成html测试报告2.1 命令2.1.1 方法1:相对路径 (首选)2.1.2 方法2:绝对路径执行 三、查看html测试报告3.1 Dashboard(概览仪表盘)3.1.1 Test …

【毕业设计】基于springboot的实验设备借用平台的设计与实现 实验室设备租赁系统(源码+文档+远程调试,全bao定制等)

博主介绍:✌️码农一枚 ,专注于大学生项目实战开发、讲解和毕业🚢文撰写修改等。全栈领域优质创作者,博客之星、掘金/华为云/阿里云/InfoQ等平台优质作者、专注于Java、小程序技术领域和毕业项目实战 ✌️技术范围:&am…

Java毕设选题推荐:基于SpringBoot+Vue+MySQL 房屋租赁管理系统平台基于springboot的元宇宙平台的房屋租赁管理系统【附源码、mysql、文档、调试+代码讲解+全bao等】

博主介绍:✌️码农一枚 ,专注于大学生项目实战开发、讲解和毕业🚢文撰写修改等。全栈领域优质创作者,博客之星、掘金/华为云/阿里云/InfoQ等平台优质作者、专注于Java、小程序技术领域和毕业项目实战 ✌️技术范围:&am…

2026必备!10个AI论文工具,助本科生轻松写论文!

2026必备!10个AI论文工具,助本科生轻松写论文! AI 工具如何改变论文写作的未来 在 2026 年,随着人工智能技术的不断成熟,AI 工具已经成为本科生撰写论文的重要助手。无论是初稿的生成、内容的润色,还是降…

【课程设计/毕业设计】基于springboot+vue的婚庆公司服务网站管理系统基于springboot的婚庆公司服务平台的设计与实现【附源码、数据库、万字文档】

博主介绍:✌️码农一枚 ,专注于大学生项目实战开发、讲解和毕业🚢文撰写修改等。全栈领域优质创作者,博客之星、掘金/华为云/阿里云/InfoQ等平台优质作者、专注于Java、小程序技术领域和毕业项目实战 ✌️技术范围:&am…

K8s新手入门:从“Pod创建”到“服务暴露”,3个案例理解容器编排

一、案例1:单Pod部署(Nginx应用) 目标:用命令行创建并验证Pod 创建Pod bashkubectl run nginx-pod --imagenginx:1.14 --port80 注:镜像选择参考智优达Docker容器化部署指南,优先使用指定版本标签&#x…

【旋转式多线激光雷达】旋转式多线激光雷达工作原理

大多数常见的旋转式多线激光雷达(如16线、32线、64线雷达)并不是物理意义上的“完全同时”发射所有激光束。 原因和实际情况如下: 避免干扰和简化设计: 如果所有激光器(每条“线”对应一个或多个激光器)在同一瞬间发射高功率激光脉冲,它们产生的光束在空间中可能非常接…

ClickHouse在农业大数据分析中的创新应用

ClickHouse在农业大数据分析中的创新应用 关键词:ClickHouse、农业大数据、时序数据分析、实时聚合、智能农业 摘要:本文将带你走进「农业+大数据」的奇妙世界,揭秘为什么全球顶尖农场和农业科技公司选择ClickHouse作为核心数据分析引擎。我们会用「种草莓的王大爷」这样的生…

【毕业设计】基于springboot的婚庆公司服务平台的设计与实现(源码+文档+远程调试,全bao定制等)

博主介绍:✌️码农一枚 ,专注于大学生项目实战开发、讲解和毕业🚢文撰写修改等。全栈领域优质创作者,博客之星、掘金/华为云/阿里云/InfoQ等平台优质作者、专注于Java、小程序技术领域和毕业项目实战 ✌️技术范围:&am…

在决策树生成过程中,对每个结点在划分前先进行估计,若当前结点的划分不能带来决策树泛化性能提升,则停止划分并将当前结点标记为叶结点。 - 指南

pre { white-space: pre !important; word-wrap: normal !important; overflow-x: auto !important; display: block !important; font-family: "Consolas", "Monaco", "Courier New", …

agentscope记忆模块使用和部署agent-memory-server记忆服务

参考资料https://doc.agentscope.io/zh_CN/tutorial/task_memory.htmlhttps://bai-lab.github.io/MemoryOS/docshttps://github.com/BAI-LAB/MemoryOShttps://docs.mem0.ai/open-source/python-quickstarthttps://redi…

AI Agent核心技术揭秘:概念辨析、商业化路径与实践指南,值得收藏

文章解析了AI Agent的概念、商业化前景及发展方向。AI Agent被定义为循环调用工具的大语言模型,具有调用工具、完成复杂任务等优势,比聊天机器人更具商业价值。编程领域是Agent最先落地的场景,Skills生态正在兴起。尽管Agent本身难以形成垂直…

Java程序员转型大模型开发全攻略:月薪30K+的AI工程师成长路径_程序员转行AI大模型教程(非常详细)

本文为Java程序员提供大模型转型指南,包括五大学习步骤:基础知识、工具框架、编程能力、数学储备和项目实践。发挥Java工程师在软件架构方面的优势,掌握AI时代高薪岗位所需技能。大模型领域岗位缺口达47万,初级工程师平均薪资28K。…

docker部署及基本要点

一、核心内容整理Docker 核心概念与关联技术 Docker 是基于 Go 语言开发的容器化软件,核心解决软件安装部署的环境一致性问题,常应用于大模型部署(如 deepseek)等 AI 场景;K8s(Kubernetes,谷歌开发)是 Docker …