快速入门深度学习系列(3)----神经网络

本文只针对图进行解释重要内容 这就是入门所需要掌握的大部分内容

对于不懂的名词或概念 你可以及时去查

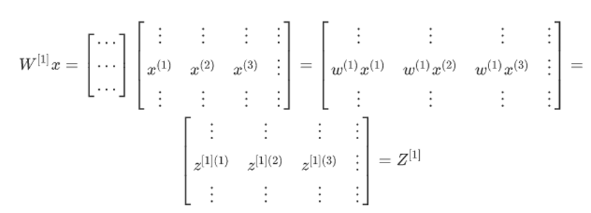
对于层数 标在上面 对于该层的第几个元素 标在下面  输入层算作第0层

对于第一层的w b 参数

维度如下w:4*3  b:4*1

这个叫做神经元 比如对于第一层的神经元

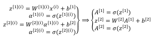
这里说的很清楚了 首先计算z 然后通过激活函数 计算出a

解释一下 

为什么是四个w 因为第一层对应着四个神经元

比如w1对应第一层a11 w1的维度应该是(1,3)这与第0层的三个输入相对应 以计算三个输入对于a11的影响

而这样的神经元在第一层有四个 所以W的维度是(4*3)

激活函数并不会改变维度

这是对于多样本的书写方式

对于多样本 W是不需要改变的 

W的维度是(4*3) 当我们的X变成多样本之后维度是(n,m) 这里n是3 依然可以和W维度匹配

这里的物理意义就是 对于第i个样本 可以通过W去调整你的参数

但你要知道最后的W是该特征m个输入样本的平均值决定的

这里确实很难理解 可以参考下图理解

对于激活函数 不只有relu 和sigmoid 很有很多其他的比如leaky relu tanh

曲线如下

为什么要激活函数 因为需要非线性 对于无限次的线性叠加 还是线性 这是无意义的

这个很好理解

与逻辑回归类似 

注意的关键点是

W参数是M个样本的平均值 这里也有体现

对b参数是M个样本的平均值 得到一个常数

对于dz1的求解 把正向传播的1式代入3式可以看出

随机初始化

W的初始值不能全是0

这导致了隐藏层对称 进而隐藏层个数多也没有意义

训练多少次两个神经元都是相同的

所以随机初始化 一般是高斯分布

本文来自互联网用户投稿,该文观点仅代表作者本人,不代表本站立场。本站仅提供信息存储空间服务,不拥有所有权,不承担相关法律责任。如若转载,请注明出处:http://www.mzph.cn/bicheng/80622.shtml

如若内容造成侵权/违法违规/事实不符,请联系多彩编程网进行投诉反馈email:809451989@qq.com,一经查实,立即删除!

相关文章

【Python 算法零基础 2.模拟 ⑤ 基于栈和队列】

目录 基于栈 Ⅰ、1441. 用栈操作构建数组 算法与思路 ① 初始化操作序列 ② 遍历数字范围 ③ 判断并添加操作 ④ 提前结束循环 ⑤ 返回操作序列 基于队列 Ⅰ、1700. 无法吃午餐的学生数量 思路与算法 ① 统计学生对三明治的需求: ② 遍历三明治供应顺序:…

管家婆实用贴-如何在Excel中清除空格

我们在使用管家婆软件时,经常会用到Excel表格导入导出数据,在使用Excel整理数据时,数据中的空格可能会导致计算和分析出现问题。无论是多余的前导空格、尾部空格还是单元格中的不必要空格,清除它们都是确保数据准确性的关键。今天…

uniapp-商城-53-后台 商家信息(更新修改和深浅copy)

1、概述 文章主要讨论了在数据库管理中如何处理用户上传和修改商家信息的问题,特别是通过深浅拷贝技术来确保数据更新的准确性和安全性。 首先,解释了深拷贝和浅拷贝的区别:浅拷贝使得两个变量共享相同的内存地址,而深拷贝则创建新…

numpy模块综合使用

一、numpy模块的综合使用方法 # 使用矩阵的好处,矩阵对于python中列表,字典等数据类型一个一个拿来计算是会方便计算很多的,底层使用的是c语言 # 在数据分析和数据处理的时候也经常常用 import numpy as np array np.array([[1,2,3],[2,3,4…

【github分享】开发者学习路线图

地址:GitHub - kamranahmedse/developer-roadmap: Interactive roadmaps, guides and other educational content to help developers grow in their careers. 介绍:涵盖了所有领域的开发者路线图,前端、后端、运维、全栈、编程语言、AI等。…

《Linux命令行大全(第2版)》PDF下载

内容简介 本书对Linux命令行进行详细的介绍,全书内容包括4个部分,第一部分由Shell的介绍开启命令行基础知识的学习之旅;第二部分讲述配置文件的编辑,如何通过命令行控制计算机;第三部分探讨常见的任务与必备工具&…

[Java实战]Spring Boot 解决跨域问题(十四)

[Java实战]Spring Boot 解决跨域问题(十四) 一、CORS 问题背景 什么是跨域问题? 当浏览器通过 JavaScript 发起跨域请求(不同协议、域名、端口)时,会触发同源策略限制,导致请求被拦截。 示例场…

MyBatis快速入门——实操

默认:电脑搭建好了Maven环境 本次入门实验使用的idea版本:ideaU2022.1 目录 一:前期准备工作 1. 创建一个springboot工程 2. Maven环境配置 3. 在mysql数据库中创建一个user表 4. 编写实体类User 二: 引入MyBatis的相关依赖…

IPLOOK超轻量核心网,助力5G专网和MEC边缘快速落地

随着5G深入千行百业,行业客户对核心网的灵活性、可控性和部署效率提出了更高要求。IPLOOK面向数字化转型需求,推出了超轻量级核心网解决方案,具备体积小、资源占用少、部署灵活、易于维护等特性,广泛适用于专网、实验室、MEC边缘云…

【前端】【HTML】【总复习】一万六千字详解HTML 知识体系

🌐 HTML 知识体系 一、HTML 基础入门 1. HTML 简介与作用 HTML(HyperText Markup Language,超文本标记语言)是构建网页的基础语言。它的核心作用是: 定义网页内容的结构(标题、段落、图片、表格等)提供语义化标签,帮助搜索引擎与辅助设备理解页面内容配合 CSS 实现…

VC++ 获取CPU信息的两种方法

文章目录 方法一:使用 Windows API GetSystemInfo 和 GetNativeSystemInfo (基本信息)编译和运行代码解释 方法二:使用 __cpuid(CPU序列号、特性等)代码解释: 开发过程中需要使用 VC获取电脑CPU信息,先总结…

Docker Compose 的历史和发展

这张图表展示了Docker Compose从V1到V2的演变过程,并解释了不同版本的Compose文件格式及其支持情况。以下是对图表的详细讲解: Compose V1 No longer supported: Compose V1已经不再支持。Compose file format 3.x: 使用了版本3.x的Compose文件格式。 …

24、TypeScript:预言家之书——React 19 类型系统

一、预言家的本质 "TypeScript是魔法世界的预言家之书,用静态类型编织代码的命运轨迹!" 霍格沃茨符文研究院的巫师挥动魔杖,类型注解与泛型的星轨在空中交织成防护矩阵。 ——基于《国际魔法联合会》第12号类型协议,Ty…

(2025,AR,NAR,GAN,Diffusion,模型对比,数据集,评估指标,性能对比)文本到图像生成和编辑:综述

【本文为我在去年完成的综述,因某些原因未能及时投稿,但本文仍能为想要全面了解文本到图像的生成和编辑的学习者提供可靠的参考。目前本文已投稿 ACM Computing Surveys。 完整内容可在如下链接获取,或在 Q 群群文件获取。 中文版为论文初稿&…

MATLAB的cvpartition函数用法

1. 函数作用 cvpartition 将数据集划分为训练集和测试集,支持多种交叉验证方法,包括: Hold-Out验证:单次划分(如70%训练,30%测试)K折交叉验证:数据分为K个子集,依次用其…

Java【网络原理】(5)深入浅出HTTPS:状态码与SSL/TLS加密全解析

目录 1.前言 2.正文 2.1状态码 2.2HTTP与HTTPS的关系 2.3SSL协议 2.3.1对称加密 2.3.2非对称加密 2.3.3中间人攻击 2.3.4校验机制 2.3.4.1证书 2.3.4.2数字签名 1. 数字签名的生成过程 2. 数字签名的验证过程 2.4TLS协议(握手过程) 3.小结…

代码随想录算法训练营第三十七天

LeetCode题目: 300. 最长递增子序列674. 最长连续递增序列718. 最长重复子数组2918. 数组的最小相等和(每日一题) 其他: 今日总结 往期打卡 300. 最长递增子序列 跳转: 300. 最长递增子序列 学习: 代码随想录公开讲解 问题: 给你一个整数数组 nums ,找到其中最长…

【Java ee初阶】网络原理

TCP协议 1.确认应答 实现可靠传输的核心机制 2.超时重传 实现可靠传输的核心机制 3.连接管理 网络部分最高频的面试题 4.滑动窗口 提高传输效率的机制 5.流量控制 依据接收方的处理能力,限制发送方的发送速度。 6.拥塞控制 依据传输链路的处理能力&#xff0c…

B站取关脚本

个人的账号可能被盗了,发现关注数量蹦到3000多,然后b站没有一键取关的按钮,并且对api的访问有速度限制,然后网上的脚本很多都已经失效了,所以自己稍微写个简陋的 测试时间: 2025.05.11 使用步骤: 进入b站的关注页面…

PyGame游戏开发(含源码+演示视频+开结题报告+设计文档)

前言: 大二小学期python课上基于pygame做的一个游戏小demo,当时老师花了一天讲解了下python基础语法后(也是整个大学四年唯一学习python的时间),便让我们自学网课一周然后交项目,所以做的非常仓促&#xff…