给你二叉树的根节点 root ,返回其节点值的 层序遍历 。 (即逐层地,从左到右访问所有节点)。
示例 1:

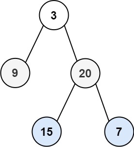
输入:root = [3,9,20,null,null,15,7] 输出:[[3],[9,20],[15,7]]
/*** Definition for a binary tree node.* struct TreeNode {* int val;* TreeNode *left;* TreeNode *right;* TreeNode() : val(0), left(nullptr), right(nullptr) {}* TreeNode(int x) : val(x), left(nullptr), right(nullptr) {}* TreeNode(int x, TreeNode *left, TreeNode *right) : val(x), left(left), right(right) {}* };*/
class Solution {
public:vector<vector<int>> levelOrder(TreeNode* root) {if(!root) return {};vector<vector<int>> ans;vector<TreeNode *> cur={root};while(cur.size()){vector<int> vals;vector<TreeNode *> nxt;for(auto x:cur){vals.push_back(x->val);if(x->left) nxt.push_back(x->left);if(x->right) nxt.push_back(x->right);}ans.push_back(vals);cur=nxt;}return ans;}
};
思路:
先判断二叉树根节点是否为空,为空则直接返回空结果;接着初始化存储结果的二维向量 `ans` 和存储当前层节点的向量 `cur`(初始含根节点),然后通过 `while` 循环不断迭代,每次循环中先定义存储当前层节点值的 `vals` 和存储下一层节点的 `nxt`,再遍历当前层节点,将其值存入 `vals`,并把左右子节点(若存在)存入 `nxt`,循环结束后将 `vals` 加入 `ans`,最后更新 `cur` 为 `nxt`,如此反复直至遍历完二叉树所有层,最终返回 `ans` 得到二叉树的层序遍历结果。
时间复杂度为 O(n),空间复杂度也为 O(n),n是二叉树的节点数