今天去研究了一个基本数学原理


这个其实需要证明

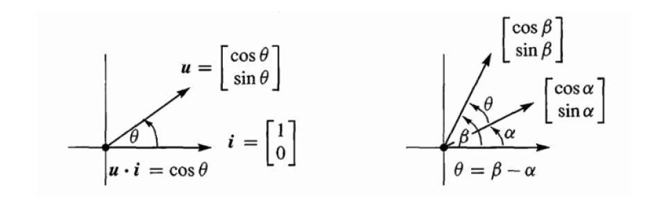
今天推导了一下这个公式,感觉收获挺大
下面是手工推导过程

今天去研究了一个基本数学原理


这个其实需要证明

今天推导了一下这个公式,感觉收获挺大
下面是手工推导过程

本文来自互联网用户投稿,该文观点仅代表作者本人,不代表本站立场。本站仅提供信息存储空间服务,不拥有所有权,不承担相关法律责任。如若转载,请注明出处:http://www.mzph.cn/bicheng/76248.shtml
如若内容造成侵权/违法违规/事实不符,请联系多彩编程网进行投诉反馈email:809451989@qq.com,一经查实,立即删除!